精英家教网 > 高中数学 > 题目详情
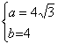
已知函数f(x)=2asinxcosx+2bcos2x,且f(0)=8,
(1)求实数a,b的值;
(2)求函数f(x)的最大值及取得最大值时x的值
解:(1)∵f(0)=8,
∴8=2b,


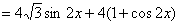
(2)由(1)知,




∴fmax(x)=12,此时
时,fmax(x)=12。
练习册系列答案
相关习题

科目:高中数学 来源: 题型:

已知函数f(x)=2-
1
x
,(x>0),若存在实数a,b(a<b),使y=f(x)的定义域为(a,b)时,值域为(ma,mb),则实数m的取值范围是(  )

查看答案和解析>>

科目:高中数学 来源: 题型:

已知函数f(x)=2+log0.5x(x>1),则f(x)的反函数是(  )

查看答案和解析>>

科目:高中数学 来源: 题型:

已知函数f(x)=2(m-1)x2-4mx+2m-1
(1)m为何值时,函数的图象与x轴有两个不同的交点;
(2)如果函数的一个零点在原点,求m的值.

查看答案和解析>>

科目:高中数学 来源: 题型:

(2013•上海)已知函数f(x)=2-|x|,无穷数列{an}满足an+1=f(an),n∈N*
(1)若a1=0,求a2,a3,a4
(2)若a1>0,且a1,a2,a3成等比数列,求a1的值
(3)是否存在a1,使得a1,a2,…,an,…成等差数列?若存在,求出所有这样的a1,若不存在,说明理由.

查看答案和解析>>

科目:高中数学 来源: 题型:

选修4-5:不等式选讲
已知函数f(x)=2|x-2|-x+5,若函数f(x)的最小值为m
(Ⅰ)求实数m的值;
(Ⅱ)若不等式|x-a|+|x+2|≥m恒成立,求实数a的取值范围.

查看答案和解析>>

同步练习册答案