精英家教网 > 高中数学 > 题目详情

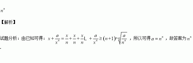
已知:,观察下列式子:类比有,则的值为

练习册系列答案
相关习题

科目:高中数学 来源:2016届黑龙江哈尔滨六中高三下四模考试文科数学试卷(解析版) 题型:解答题

如下图,平行四边形中,,将分别沿折起,使.

(1)求证:

(2)若四棱锥的体积为,求长.

查看答案和解析>>

科目:高中数学 来源:2015-2016学年山西省高二3月月考文科数学试卷(解析版) 题型:解答题

已知函数

(Ⅰ)当时,求的单调区间;

(Ⅱ)当时,,求实数的取值范围.

查看答案和解析>>

科目:高中数学 来源:2015-2016学年山西省高二3月月考文科数学试卷(解析版) 题型:选择题

若函数( )

A. B. C. D.

查看答案和解析>>

科目:高中数学 来源:2015-2016学年山西省高二3月月考理科数学试卷(解析版) 题型:解答题

已知三棱锥中,平面上一点,分别为的中点.

(1)证明:

(2)求与平面所成角的大小.

查看答案和解析>>

科目:高中数学 来源:2015-2016学年山西省高二3月月考理科数学试卷(解析版) 题型:选择题

已知函数,给出下列结论:

的单调递减区间;

②当时,直线的图象有两个不同交点;

③函数的图象与的图象没有公共点.

其中正确结论的序号是( )

A.①②③ B.①③ C.①② D.②③

查看答案和解析>>

科目:高中数学 来源:2015-2016学年山西省高二3月月考理科数学试卷(解析版) 题型:选择题

,则等于( )

A.-1 B.0 C.1 D.2

查看答案和解析>>

科目:高中数学 来源:2015-2016学年甘肃省嘉峪关市高二上学期期末文科数学试卷(解析版) 题型:选择题

设点是双曲线上的点,是其焦点,且,则的面积是( )

A.4 B. 5 C. 1 D. 2

查看答案和解析>>

科目:高中数学 来源:2015-2016学年安徽省高一下期中数学试卷(解析版) 题型:选择题

如图,点在半径为1的半圆上运动,是直径,当沿半圆弧从运动时,点经过的路程的面积的函数的图象是下图中的( )

查看答案和解析>>

同步练习册答案