精英家教网 > 高中数学 > 题目详情
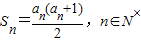
已知数列an的各项为正数,前n和为Sn,且
(1)求证:数列an是等差数列;
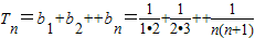
(2)设,求Tn
【答案】分析:(1)先根据a1=求出a1的值,再由2an=2(Sn-Sn-1)可得,将其代入整理可得到(an+an-1)(an-an-1-1)=0,再由an+an-1>0可得到an-an-1=1,从而可证明{an}是等差数列.
(2)先根据(1)中的{an}是等差数列求出其前n项和Sn,进而可表示出数列bn的通项公式,最后根据数列求和的裂项法进行求解即可.
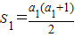
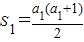
解答:解:(1),n=1时,
,∴

所以(an+an-1)(an-an-1-1)=0,
∵an+an-1>0
∴an-an-1=1,n≥2,
所以数列{an}是等差数列
(2)由(1),所以

=
点评:本题主要考查求数列的通项公式和前n项和.对于数列的求和的方法--公式法、裂项法、分组法、错位相减法等腰熟练掌握,这是高考的重点.
练习册系列答案
相关习题

科目:高中数学 来源: 题型:

已知数列an的各项为正数,前n和为Sn,且Sn=
an(an+1)
2
,n∈N×

(1)求证:数列an是等差数列;
(2)设bn=
1
2Sn
Tn=b1+b2+…+bn
,求Tn

查看答案和解析>>

科目:高中数学 来源: 题型:解答题

已知数列an的各项为正数,前n和为Sn,且数学公式
(1)求证:数列an是等差数列;
(2)设数学公式,求Tn

查看答案和解析>>

科目:高中数学 来源:2012-2013学年山西省示范性高中联考高三(上)期中数学试卷(理科)(解析版) 题型:解答题

已知数列an的各项为正数,前n和为Sn,且
(1)求证:数列an是等差数列;
(2)设,求Tn

查看答案和解析>>

科目:高中数学 来源:2012年黑龙江省哈尔滨九中高考数学三模试卷(文科)(解析版) 题型:解答题

已知数列an的各项为正数,前n和为Sn,且
(1)求证:数列an是等差数列;
(2)设,求Tn

查看答案和解析>>

同步练习册答案