精英家教网 > 高中数学 > 题目详情
等差数列{an}中,已知a2=3,an=21,d=2,则n=( )
A.9
B.10
C.11
D.12
【答案】分析:直接利用等差数列的通项公式结合已知条件求解.
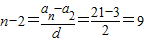
解答:解:等差数列{an}中,由a2=3,an=21,d=2,
又an=a2+(n-2)d,
所以,所以n=11.
故选C.
点评:本题考查了等差数列的通项公式,是基础的运算题.
练习册系列答案
相关习题

科目:高中数学 来源: 题型:

已知等差数列{an}中,a1=-4,且a1、a3、a2成等比数列,使{an}的前n项和Sn<0时,n的最大值为(  )

查看答案和解析>>

科目:高中数学 来源: 题型:

已知等差数列﹛an﹜中,a3=5,a15=41,则公差d=(  )

查看答案和解析>>

科目:高中数学 来源: 题型:

已知等差数列{an }中,an≠0,且 an-1-an2+an+1=0,前(2n-1)项和S2n-1=38,则n等于(  )

查看答案和解析>>

科目:高中数学 来源: 题型:

在等差数列{an}中,设S1=10,S2=20,则S10的值为(  )

查看答案和解析>>

科目:高中数学 来源: 题型:

(1)在等差数列{an}中,d=2,a15=-10,求a1及Sn
(2)在等比数列{an}中,a3=
3
2
S3=
9
2
,求a1及q.

查看答案和解析>>

同步练习册答案