精英家教网 > 高中数学 > 题目详情
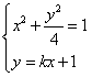
在直角坐标系xOy中,点P到两点(0,)、(0,)的距离之和为4,设点P的轨迹为C,直线y=kx+1与C交于A,B两点,
(Ⅰ)写出C的方程;
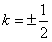
(Ⅱ)若,求k的值;
(Ⅲ)若点A在第一象限,证明:当k>0时,恒有
解:(Ⅰ)设P(x,y),
由椭圆定义可知,点P的轨迹C是以为焦点,长半轴为2的椭圆,
它的短半轴
故曲线C的方程为
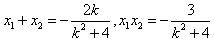
(Ⅱ)设
其坐标满足,消去y并整理得

,即

于是
化简得,所以
(Ⅲ)

因为A在第一象限,故
,从而
又k>0,故
即在题设条件下,恒有
练习册系列答案
相关习题

科目:高中数学 来源: 题型:

在直角坐标系xOy中,椭圆C1
x2
a2
+
y2
b2
=1(a>b>0)的左、右焦点分别为F1,F2.F2也是抛物线C2:y2=4x的焦点,点M为C1与C2在第一象限的交点,且|MF2|=
5
3

(Ⅰ)求C1的方程;
(Ⅱ)平面上的点N满足
MN
=
MF1
+
MF2
,直线l∥MN,且与C1交于A,B两点,若
OA
OB
=0
,求直线l的方程.

查看答案和解析>>

科目:高中数学 来源: 题型:

在直角坐标系xOy中,已知点P(2cosx+1,2cos2x+2)和点Q(cosx,-1),其中x∈[0,π].若向量
OP
OQ
垂直,求x的值.

查看答案和解析>>

科目:高中数学 来源: 题型:

精英家教网如图所示,在直角坐标系xOy中,射线OA在第一象限,且与x轴的正半轴成定角60°,动点P在射线OA上运动,动点Q在y轴的正半轴上运动,△POQ的面积为2
3

(1)求线段PQ中点M的轨迹C的方程;
(2)R1,R2是曲线C上的动点,R1,R2到y轴的距离之和为1,设u为R1,R2到x轴的距离之积.问:是否存在最大的常数m,使u≥m恒成立?若存在,求出这个m的值;若不存在,请说明理由.

查看答案和解析>>

科目:高中数学 来源: 题型:

在直角坐标系xOy中,已知圆M的方程为x2+y2-4xcosα-2ysinα+3cos2α=0(α为参数),直线l的参数方程为
x=tcosθ
y=1+tsinθ
(t
为参数)
(I)求圆M的圆心的轨迹C的参数方程,并说明它表示什么曲线;
(II)求直线l被轨迹C截得的最大弦长.

查看答案和解析>>

科目:高中数学 来源: 题型:

在直角坐标系xOy中,已知椭圆C:
x2
a2
+
y2
b2
=1(a>b>0)
的离心率e=
2
2
,左右两个焦分别为F1,F2.过右焦点F2且与x轴垂直的直线与椭圆C相交M、N两点,且|MN|=2.
(1)求椭圆C的方程;
(2)设椭圆C的一个顶点为B(0,-b),是否存在直线l:y=x+m,使点B关于直线l 的对称点落在椭圆C上,若存在,求出直线l的方程,若不存在,请说明理由.

查看答案和解析>>

同步练习册答案