精英家教网 > 高中数学 > 题目详情
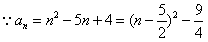
已知数列{an}的通项为an=n2-5n+4,
(1)数列中有多少项为负数?
(2)n为何值时,an有最小值?并求此最小值。
解:(1)由
∴n=2或3,所以数列中有2项为负数;
(2)
∵n∈N*,
∴n=2或3时,an有最小值-2。
练习册系列答案
相关习题

科目:高中数学 来源: 题型:

已知数列{an}的通项为an=2n-1,Sn为数列{an}的前n项和,令bn=
1
Sn+n
,则数列{bn}的前n项和的取值范围为(  )
A、[
1
2
,1)
B、(
1
2
,1)
C、[
1
2
3
4
)
D、[
2
3
,1)

查看答案和解析>>

科目:高中数学 来源: 题型:

已知数列{an}的通项公式是an=
an
bn+1
,其中a、b均为正常数,那么数列{an}的单调性为(  )

查看答案和解析>>

科目:高中数学 来源: 题型:

(2003•东城区二模)已知数列{an}的通项公式是 an=
na
(n+1)b
,其中a、b均为正常数,那么 an与 an+1的大小关系是(  )

查看答案和解析>>

科目:高中数学 来源: 题型:

已知数列{an}的通项公式为an=2n-5,则|a1|+|a2|+…+|a10|=(  )

查看答案和解析>>

科目:高中数学 来源: 题型:

已知数列{an}的通项公式为an=
1
n+1
+
n
求它的前n项的和.

查看答案和解析>>

同步练习册答案