精英家教网 > 高中数学 > 题目详情

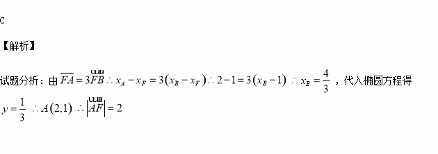
已知椭圆C:+y2=1的焦点F(1,0),直线l:x=2,点A∈l,线段AF交C于点B,若=3,则||=( )

A. B.2 C. D.3

练习册系列答案
相关习题

科目:高中数学 来源:2016届河南省原名校高三上学期第一次联考理科数学试卷(解析版) 题型:解答题

(本小题满分12分)已知函数).

(1)若的极值点,求实数的值;

(2)若上为增函数,求实数的取值范围;

(3)当时,函数有零点,求实数的最大值.

查看答案和解析>>

科目:高中数学 来源:2015-2016学年江苏省泰兴市高二上学期期中考试数学试卷(解析版) 题型:解答题

(本小题满分14分)设函数,其图象在点处的切线与直线垂直,导函数的最小值为

(1)求的值;

(2)求函数的单调递增区间,并求函数上的最大值和最小值.

查看答案和解析>>

科目:高中数学 来源:2015-2016学年辽宁省大连市高一上学期期中考试数学试卷(解析版) 题型:填空题

已知在区间[0、1]上的最小值是0.25,则=

查看答案和解析>>

科目:高中数学 来源:2015-2016学年河南省英文学校高一上学期期中考试数学试卷(解析版) 题型:选择题

三个数的大小顺序是( )

A.

B.

C.

D.

查看答案和解析>>

科目:高中数学 来源:2015-2016学年广东省普宁市高一上学期期中考试数学试卷(解析版) 题型:选择题

在平行四边形ABCD中,E、F分别是BC、CD的中点,DE交AF于H,记 分别为,则=( )

A. B.+

C.-+ D.-

查看答案和解析>>

科目:高中数学 来源:2015-2016学年甘肃省定西市高一上学期第一次月考数学试卷(解析版) 题型:选择题

集合{0,2, 3}的真子集共有( )

A、5个 B、6个 C、7个 D、8个

查看答案和解析>>

科目:高中数学 来源:2015-2016学年浙江省平湖市高一10月月考数学试卷(解析版) 题型:填空题

,若,则的取值范围为

查看答案和解析>>

科目:高中数学 来源:2015-2016学年河北省高一上学期第一次月考数学试卷(解析版) 题型:选择题

满足的集合的个数为( )

(A)6 (B) 7 (C) 8 (D)9

查看答案和解析>>

同步练习册答案