精英家教网 > 高中数学 > 题目详情

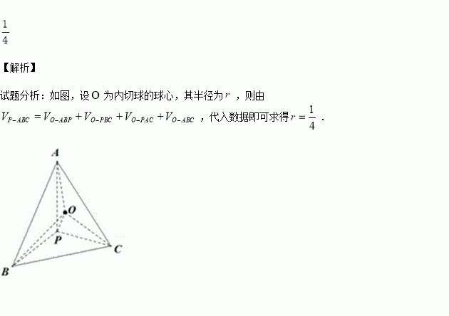
已知三棱锥P-ABC,若PA,PB,PC两两垂直,且PA = 2,PB = PC = 1,则三棱锥P-ABC的内切球半径为__________.

练习册系列答案
相关习题

科目:高中数学 来源:2016-2017学年河北石家庄市高三理9月摸底数学试卷(解析版) 题型:选择题

某几何体的三视图如右图所示,则该几何体的表面积为

A. B. C. D.

查看答案和解析>>

科目:高中数学 来源:2016-2017学年四川三台中学高二上期晚考9.2数学试卷(解析版) 题型:选择题

已知直线l的方程为y=-x+1,则直线l的倾斜角为( )

A.30° B.45° C.60° D.135°

查看答案和解析>>

科目:高中数学 来源:2016届江苏省高三12月月考数学试卷(解析版) 题型:填空题

根据如图所示的伪代码,最后输出的的值为_________.

查看答案和解析>>

科目:高中数学 来源:2016届青海西宁五中四中十四中高三下学期联考数学(理)试卷(解析版) 题型:解答题

已知函数.

(1)若函数上是减函数,求实数的取值范围;

(2)令,是否存在实数,当是自然常数)时,函数的最小值是3,若存在,求出的值;若不存在,说明理由.

查看答案和解析>>

科目:高中数学 来源:2016届青海西宁五中四中十四中高三下学期联考数学(理)试卷(解析版) 题型:选择题

已知一个几何体的三视图如图所示,则这个几何体的体积是( )

A. B. C. D.

查看答案和解析>>

科目:高中数学 来源:2016届青海西宁五中四中十四中高三下学期联考数学(理)试卷(解析版) 题型:选择题

已知实数a,b,c满足不等式0<a<b<c<1,且M=2a,N=5-b,P=ln c,则M,N,P的大小

关系为( )

A.P<N<M B.P<M<N C.M<P<N D.N<P<M

查看答案和解析>>

科目:高中数学 来源:2015-2016学年广东茂名十七中高二下学期期末数学(理)试卷(解析版) 题型:选择题

随机变量服从二项分布,且等于( )

A. B. C. 1 D. 0

查看答案和解析>>

科目:高中数学 来源:2016届河南六市高三第二次联考数学(文)试卷(解析版) 题型:填空题

已知正实数a,b,c满足,其中e是自然对数的底数,则的取值范围是____.

查看答案和解析>>

同步练习册答案