精英家教网 > 高中数学 > 题目详情

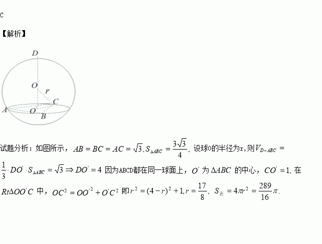
在同一个球的球面上,,若四面体体积的最大值为,则这个球的表面积为( )

A. B. C. D.

练习册系列答案
相关习题

科目:高中数学 来源:2016-2017学年河北定州中学高二上周练二数学试卷(解析版) 题型:选择题

在正三棱柱中,若,则点A到平面的距离为( )

A. B. C. D.

查看答案和解析>>

科目:高中数学 来源:2015-2016学年重庆八中高二暑期阶段测十数学(文)试卷(解析版) 题型:选择题

已知是单位圆上任意一点,将射线绕点逆时针旋转,与单位圆交于点,若的最大值为2,则的值为( )

A.1 B.2 C. D.3

查看答案和解析>>

科目:高中数学 来源:2015-2016学年江西南昌二中高二下期中数学(理)试卷(解析版) 题型:填空题

正方体的棱长为1,的中点,为线段的动点,过 的平面截该正方体所得的截面记为,则下列命题正确的是__________________

①当时,为四边形;②当时,为等腰梯形;③当时,的交点满足;④当时,为六边形;⑤当时,的面积为.

查看答案和解析>>

科目:高中数学 来源:2015-2016学年江西南昌二中高二下期中数学(理)试卷(解析版) 题型:选择题

某几何体是由直三棱柱与圆锥的组合体,其直观图和三视图如图所示,正视图为正方形,其中俯视图中椭圆的离心率为( )

A. B. C. D.

查看答案和解析>>

科目:高中数学 来源:2015-2016学年安徽宣城市高二下学期期末数学(理)试卷(解析版) 题型:解答题

若椭圆的离心率等于,抛物线的焦点在椭圆的顶点上.

(1)求抛物线的方程;

(2)设为抛物线上的两个动点, 其中,线段的垂直平分线轴交于点,求面积的最大值.

查看答案和解析>>

科目:高中数学 来源:2015-2016学年安徽宣城市高二下学期期末数学(理)试卷(解析版) 题型:填空题

的展开式中, 含有的项的系数为

查看答案和解析>>

科目:高中数学 来源:2015-2016学年浙江湖州中学高一下学期期中数学试卷(解析版) 题型:解答题

已知函数.

(1)当时,恒成立,求实数的取值范围;

(2)当时,恒成立,求实数的取值范围.

查看答案和解析>>

科目:高中数学 来源:2015-2016学年陕西延川县中学高一下学期期中数学(理)试卷(解析版) 题型:解答题

(1)化简

(2)化简求值

查看答案和解析>>

同步练习册答案