精英家教网 > 高中数学 > 题目详情

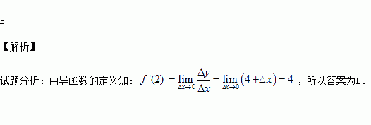
若函数处的瞬时变化率为,且,则=( )

A、2 B、4 C、 D、

练习册系列答案
相关习题

科目:高中数学 来源:2015-2016学年广东汕头金山中学高一上学期期中数学试卷(解析版) 题型:解答题

为实数,函数

(1)讨论的奇偶性;

(2)当时,求的最大值.

查看答案和解析>>

科目:高中数学 来源:2016届广东省广州市高三上学期期中文科数学试卷(解析版) 题型:选择题

已知抛物线的焦点为,直线与C交于A、B(A在轴上方)两点,若,则实数的值为( )

A. B. C.2 D.3

查看答案和解析>>

科目:高中数学 来源:2015-2016学年山东省高一上学期期中考试数试卷(解析版) 题型:选择题

设函数,则使得成立的的取值范围是( )

A. B. C. D.

查看答案和解析>>

科目:高中数学 来源:2015-2016学年吉林长春十一中高一上学期期中文科数学卷(解析版) 题型:选择题

在直角坐标系中,一动点从点出发,沿单位圆(圆心在坐标原点半径为1的圆)圆周按逆时针方向运动弧长,到达点,则点的坐标为 ( )

A. B. C. D.

查看答案和解析>>

科目:高中数学 来源:2015-2016学年黑龙江哈尔滨师大附中高二上期中文数学卷(解析版) 题型:选择题

直线与椭圆相切,则的值为( )

A. B. C. D.

查看答案和解析>>

科目:高中数学 来源:2015-2016学年黑龙江哈尔滨师大附中高二上期中理数学卷(解析版) 题型:选择题

焦点在轴上的椭圆的焦距为,则长轴长是( )

A. B. C. D.

查看答案和解析>>

科目:高中数学 来源:2015-2016学年陕西省西安市高一上学期期中考试数学试卷(解析版) 题型:解答题

设函数f(x)对任意x,y,都有,且时,f(x)<0,f(1)=-2.

(1)求证:f(x)是奇函数;

(2)试问在时,f(x)是否有最值?如果有求出最值;如果没有,说出理由.

查看答案和解析>>

科目:高中数学 来源:2015-2016学年青海省高二期中考试数学试卷(解析版) 题型:选择题

长方体中,,则异面直线所成角的余弦值为

( )

A. B. C. D.

查看答案和解析>>

同步练习册答案