精英家教网 > 高中数学 > 题目详情

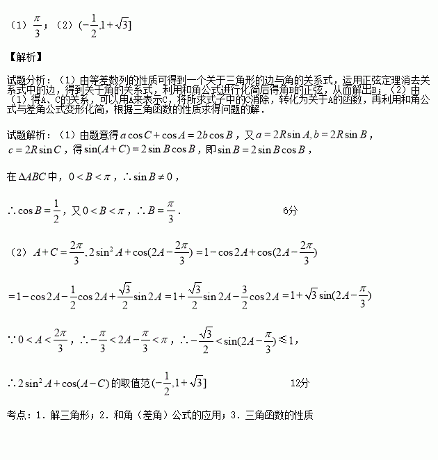
(12分)在中,的对边分别为成等差数列(1)求的值; (2)求的取值范围.

练习册系列答案
相关习题

科目:高中数学 来源:2014-2015学年江西省鹰潭市高三第一次模拟考试文科数学试卷(解析版) 题型:解答题

(本小题满分10分)选修4-1:几何证明选讲

如图,分别为的边上的点,且不与的顶点重合。已知的长为m,的长为n,AD,的长是关于的方程的两个根。

(1)证明:四点共圆;

(2)若,且,求所在圆的半径。

查看答案和解析>>

科目:高中数学 来源:2014-2015学年内蒙古包头三十三中高一上学期期末考试理科数学试卷(解析版) 题型:选择题

在空间四边形各边上分别取四点,如果与能相交于点,那么( )

A.点必在直线BD上

B.点必在直线

C.点必在平面

D.点必在平面

查看答案和解析>>

科目:高中数学 来源:2014-2015学年江西省高二上学期期末考试文科数学试卷(解析版) 题型:填空题

若一个水平放置的图形的斜二测直观图是一个底角为45°且腰和上底均为1的等腰梯形,则原平面图形的面积是 ( )

A. B. C. D.

查看答案和解析>>

科目:高中数学 来源:2014-2015学年江西省高二上学期期末考试文科数学试卷(解析版) 题型:选择题

已知之间的一组数据:

x

0

1

2

3

y

1

3

5

7

则y与的线性回归方程必过点( )

A. B. C. D.

查看答案和解析>>

科目:高中数学 来源:2014-2015学年江西省高一下学期第一次月考数学试卷(解析版) 题型:填空题

的等差中项是

查看答案和解析>>

科目:高中数学 来源:2014-2015学年江西省高一下学期第一次月考数学试卷(解析版) 题型:选择题

已知数列的前项和是实数),下列结论正确的是( )

A.为任意实数,均是等比数列

B.当且仅当时,是等比数列

C.当且仅当时,是等比数列

D.当且仅当时,是等比数列

查看答案和解析>>

科目:高中数学 来源:2014-2015学年江西省高二下学期第一次月考文科数学试卷(解析版) 题型:选择题

已知f(x)=x3-3x,过点A(1,m)(m≠-2)可作曲线y=f(x)的三条切线,则实数m的取值范围是( )

A.(-1,1) B.(-2,3) C.(-1,2) D.(-3,-2)

查看答案和解析>>

科目:高中数学 来源:2014-2015学年湖南省高一下学期第一次月考数学试卷(解析版) 题型:填空题

若角的终边经过点,则的值为

查看答案和解析>>

同步练习册答案