精英家教网 > 高中数学 > 题目详情

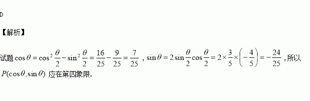
已知,则点位于( )

A.第一象限 B. 第二象限 C.第三象限 D.第四象限

练习册系列答案
相关习题

科目:高中数学 来源:2015-2016学年河北省高二3月月考文科数学试卷(解析版) 题型:填空题

复数 的虚部为___________.

查看答案和解析>>

科目:高中数学 来源:2015-2016学年浙江省高一下学期期中数学试卷(解析版) 题型:填空题

中,内角的对边分别为,已知,则角 .

查看答案和解析>>

科目:高中数学 来源:2015-2016学年安徽省国科大附中高一下期中数学试卷(解析版) 题型:解答题

已知函数.

(1)求函数的最小正周期和最小值;

(2)若,且,求.

查看答案和解析>>

科目:高中数学 来源:2015-2016学年安徽省国科大附中高一下期中数学试卷(解析版) 题型:选择题

在△ABC中,有下列五个不等式:(1)(2)(3) (4) (5),则其中一定成立的不等式的个数为( )

A.4 B.3 C.2 D.1

查看答案和解析>>

科目:高中数学 来源:2015-2016学年安徽省国科大附中高一下期中数学试卷(解析版) 题型:选择题

现要完成下列3项抽样调查:

①从10盒酸奶中抽取3盒进行食品卫生检查.

②科技报告厅有32排,每排有40个座位,有一次报告会恰好坐满了听众,报告会结束后,为了听取意见,需要请32名听众进行座谈.

③东方中学共有160名教职工,其中一般教师120名,行政人员16名,后勤人员24名.为了了解教职工对学校在校务公开方面的意见,拟抽取一个容量为20的样本.

较为合理的抽样方法是( )

A.①简单随机抽样,②系统抽样,③分层抽样

B.①简单随机抽样,②分层抽样,③系统抽样

C.①系统抽样,②简单随机抽样,③分层抽样

D.①分层抽样,②系统抽样,③简单随机抽样

查看答案和解析>>

科目:高中数学 来源:2015-2016学年湖北省黄石市高二下期中文科数学试卷(解析版) 题型:解答题

已知函数的值为 ;函数恰有两个零点,则实数的取值范围是 .

查看答案和解析>>

科目:高中数学 来源:2015-2016学年湖北省黄石市高二下期中理科数学试卷(解析版) 题型:解答题

已知椭圆(a>b>0)的离心率为,以原点为圆心,椭圆的短半轴为半径的圆与直线相切.

(Ⅰ)求椭圆C的方程;

(Ⅱ)设P(4,0),A,B是椭圆C上关于x轴对称的任意两个不同的点,连接PB交椭圆C于另一点E,证明直线AE与x轴相交于定点Q;

(Ⅲ)在(Ⅱ)的条件下,过点Q的直线与椭圆C交于M,N两点,求的取值范围.

查看答案和解析>>

科目:高中数学 来源:2015-2016学年湖北省襄阳市四校高一下学期期中联考数学试卷(解析版) 题型:选择题

若数列,…… ,则是这个数列的第( )项.

A.8 B.9 C.10 D.11

查看答案和解析>>

同步练习册答案