精英家教网 > 高中数学 > 题目详情

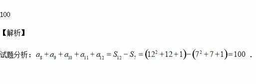
已知数列{}的前n项和 ,则=________.

练习册系列答案
相关习题

科目:高中数学 来源:2015-2016学年浙江省高二上学期期中数学试卷(解析版) 题型:填空题

已知直线与圆心为C的圆相交于A、B两点,且为等边三角形,则实数a=

查看答案和解析>>

科目:高中数学 来源:2015-2016学年辽宁省葫芦岛市高一上学期期中考试数学试卷(解析版) 题型:填空题

函数f(x)=的定义域是

查看答案和解析>>

科目:高中数学 来源:2015-2016学年广东省清远市实验学校高二上学期期中数学试卷(解析版) 题型:填空题

若||=1,||=2,=+,且,则的夹角为________。

查看答案和解析>>

科目:高中数学 来源:2015-2016学年湖南省高二上学期期中文科数学试卷(解析版) 题型:选择题

若log2x+log2y=3,则2x+y的最小值是( )

A. B.8 C.10 D.12

查看答案和解析>>

科目:高中数学 来源:2015-2016学年吉林省扶余市高二上学期期中考试理科数学试卷(解析版) 题型:填空题

在等差数列中,若,则=

查看答案和解析>>

科目:高中数学 来源:2015-2016学年湖南省高二上学期期中考试理科数学试卷(解析版) 题型:选择题

若抛物线y2=2px的焦点与椭圆的右焦点重合,则p的值为( )

A.4 B.1 C.2 D.8

查看答案和解析>>

科目:高中数学 来源:2014-2015学年上海市高二下学期期末考试数学试卷(解析版) 题型:选择题

将正整数n表示成k个正整数的和(不计较各数的次序),称为将正整数n分成k个部分的一个划分,一个划分中的各加数与另一个划分的各加数不全相同,则称为不同的划分,将正整数n划分成k个部分的不同划分的个数记为P(n,k),则P(10,3)的值为( )

A.12 B.10 C.8 D.6

查看答案和解析>>

科目:高中数学 来源:2015-2016学年江西省赣州市十三县高二上期中联考理科数学试卷(解析版) 题型:选择题

已知则下列结论中不正确的是( )

A.将函数的图象向右平移个单位后得到函数的图象;

B.函数的最大值为

C.函数的图象关于称;

D.函数的最小正周期为

查看答案和解析>>

同步练习册答案