精英家教网 > 高中数学 > 题目详情

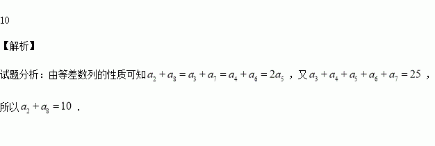
在等差数列中,若,则=

练习册系列答案
相关习题

科目:高中数学 来源:2015-2016学年西藏日喀则一中高二10月月考文数学试卷(解析版) 题型:填空题

函数,且)的图象恒过定点,若点在一次函数的图象上,其中,则的最小值为

查看答案和解析>>

科目:高中数学 来源:2015-2016学年江西铅山一中 、横峰中学高二上学期期中理科数学卷(解析版) 题型:填空题

若关于 x的不等式x2-ax-a>0的解集为(-∞,+∞),则实数a的取值范围是

查看答案和解析>>

科目:高中数学 来源:2015-2016学年湖南省高二上学期期中文科数学试卷(解析版) 题型:解答题

在△ABC中,角A、B、C所对的边分别为a、b、c,已知2cos(A+B)=﹣1,且满足a、b是方程x2﹣2x+2=0的两根.

(1)求角C的大小和边c的长度;

(2)求△ABC的面积.

查看答案和解析>>

科目:高中数学 来源:2015-2016学年吉林省扶余市高二上学期期中考试文科数学试卷(解析版) 题型:填空题

已知数列{}的前n项和 ,则=________.

查看答案和解析>>

科目:高中数学 来源:2015-2016学年湖南省高二上学期期中考试理科数学试卷(解析版) 题型:解答题

(本题10分)已知命题<,和命题,为真,为假,求实数c的取值范围.

查看答案和解析>>

科目:高中数学 来源:2015-2016学年福建省高一上学期期中考试数学试卷(解析版) 题型:选择题

函数的图象大致是( )

查看答案和解析>>

科目:高中数学 来源:2015-2016学年重庆市高二上第一次月考理科数学试卷(解析版) 题型:解答题

(12分)已知函数,函数

(1)若,求不等式的解集;

(2)若对任意,均存在,使得成立,求实数的取值范围.

查看答案和解析>>

科目:高中数学 来源:2015-2016学年湖南省高一上学期期中考试数学试卷(解析版) 题型:填空题

已知A={-1,3,m},集合B={3,4},若B⊆A,则实数m=_____________.

查看答案和解析>>

同步练习册答案