精英家教网 > 高中数学 > 题目详情

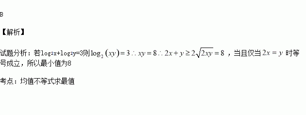
若log2x+log2y=3,则2x+y的最小值是( )

A. B.8 C.10 D.12

练习册系列答案
相关习题

科目:高中数学 来源:2016届江西省高三上学期第三次考试理科数学试卷(解析版) 题型:填空题

将函数图象上每一点的横坐标缩短为原来的一半,纵坐标不变,再向右平移个单位长度得到的图象,则

查看答案和解析>>

科目:高中数学 来源:2015-2016学年陕西省西安市高二上学期期中考试理科数学试卷(解析版) 题型:选择题

若不等式的解集为,则不等式的解集为( )

A. B.

C. D.

查看答案和解析>>

科目:高中数学 来源:2015-2016学年黑龙江省高二上学期期中数学试卷(解析版) 题型:填空题

以点(2,-1)为圆心且与直线x+y=6相切的圆的方程是______________.

查看答案和解析>>

科目:高中数学 来源:2015-2016学年广东省清远市实验学校高二上学期期中数学试卷(解析版) 题型:选择题

中,若,则的面积为 ( )

A. B. C.1 D.

查看答案和解析>>

科目:高中数学 来源:2015-2016学年吉林省扶余市高二上学期期中考试文科数学试卷(解析版) 题型:填空题

已知数列{}的前n项和 ,则=________.

查看答案和解析>>

科目:高中数学 来源:2015-2016学年吉林省扶余市高二上学期期中考试理科数学试卷(解析版) 题型:选择题

已知等比数列{}的各项均为正数,公比,设,则P与Q的大小关系是 ( )

A.P≥Q B.P<Q C.P=Q D.P>Q

查看答案和解析>>

科目:高中数学 来源:2015-2016学年福建省高二上学期期中考试理科数学试卷(解析版) 题型:解答题

(本小题满分10分) 在锐角△ABC中,a、b、c分别为角A、B、C所对的边,且

(1) 确定角C的大小;

(2) 若,求边的值及△ABC的面积.

查看答案和解析>>

科目:高中数学 来源:2015-2016学年江西省赣州市十三县高二上期中联考文科数学试卷(解析版) 题型:选择题

已知向量,若,则的值是( )

A. B. C. D.

查看答案和解析>>

同步练习册答案