精英家教网 > 高中数学 > 题目详情

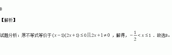
不等式的解集为 ( )

A. B

C. D.

练习册系列答案
相关习题

科目:高中数学 来源:2015-2016学年湖北省黄石市高一10月月考数学试卷(解析版) 题型:解答题

(本小题满分12分)

已知函数f(x)=

(1)在给定的直角坐标系内画出f(x)的图象

(2)写出f(x)的单调递增区间与减区间.

查看答案和解析>>

科目:高中数学 来源:2015-2016学年广东省高一上学期期中考试数学试卷(解析版) 题型:选择题

已知f(x)=,则f [f(-2)]=( ).

A.-1 B.0 C.2 D.

查看答案和解析>>

科目:高中数学 来源:2015-2016学年安徽省高一上学期第一次月考数学试卷(解析版) 题型:选择题

函数的图象必经过点( ).

A. B. C. D.

查看答案和解析>>

科目:高中数学 来源:2015-2016学年安徽省阜阳市高二上第一次调研考理科数学试卷(解析版) 题型:解答题

(本小题满分12分)

已知 , , 若的必要不充分条件,求实数的取值范围.

查看答案和解析>>

科目:高中数学 来源:2016届云南省高三上学期第一次月考理科数学试卷(解析版) 题型:选择题

为虚数单位,复数在复平面内表示的点在( )

A.第一象限 B.第二象限 C.第三象限 D.第四象限

查看答案和解析>>

科目:高中数学 来源:2016届山东师大附中高三上学期二模理科数学试卷(解析版) 题型:填空题

定义在R上的函数满足,当时,不等式的解集为_____________.

查看答案和解析>>

科目:高中数学 来源:2016届福建省高三第一次月考文科数学试卷(解析版) 题型:填空题

如图所示,在平面直角坐标系xOy中,角的终边与单位圆交于点A,点A的纵坐标为,则________.

查看答案和解析>>

科目:高中数学 来源:2015-2016学年江苏省高一上期中考试数学试卷(解析版) 题型:填空题

已知集合

查看答案和解析>>

同步练习册答案