精英家教网 > 高中数学 > 题目详情

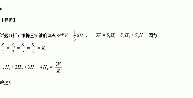
面积为S的平面凸四边形的第条边的边长记为,此四边形内任一点P到第条边的距离记为,若,则.类比以上性质,体积为V的三棱锥的第个面的面积记为,此三棱锥内任一点Q到第个面的距离记为,若,则等于( )

A. B. C. D.

练习册系列答案
相关习题

科目:高中数学 来源:2015-2016学年湖北武汉华中师大一附高二上期中理数学卷(解析版) 题型:解答题

已知椭圆的离心率为,左、右焦点分别为E、F,椭圆上的点P满足,且△PEF的面积为1,抛物线经过点(2,2).

(Ⅰ)分别求椭圆与抛物线的方程;

(Ⅱ)已知轴上一点,倾斜角为的直线交椭圆于A、B两点,线段AB的中点为M,直线QM交抛物线于C、D两点,四边形ACBD的面积记为S,若对任意直线l,都存在点Q,使得,求实数的取值范围.

查看答案和解析>>

科目:高中数学 来源:2016届湖北武汉华中师大一附等高三上第一次联考理数学卷(解析版) 题型:选择题

函数( )

A. B. C. D.

查看答案和解析>>

科目:高中数学 来源:2015-2016学年湖南师大附中高二上学期期中文科数学试卷(解析版) 题型:选择题

为真命题”是“为真命题”的( )

A.充分而不必要条件 B.必要而不充分条件

C.充分必要条件 D.既不充分也不必要条件

查看答案和解析>>

科目:高中数学 来源:2015-2016学年湖南衡阳八中高二上第二次月考文科数学卷(解析版) 题型:选择题

函数在点处的切线率2,则 的最小值是( )

A.10 B.9 C.8 D.

查看答案和解析>>

科目:高中数学 来源:2014-2015学年贵州省高二上学期半期考试文科数学试卷(解析版) 题型:填空题

某水池的容积是,向水池注水的水龙头A和水龙头B的流速都是,它们在一昼夜内随机开放(小时),水池不溢出水的概率为_____________.

查看答案和解析>>

科目:高中数学 来源:2014-2015学年广东省心学校高一上学期期末数学试卷(解析版) 题型:选择题

三个数的大小关系为( )

A.

B.

C.

D.

查看答案和解析>>

科目:高中数学 来源:2016届湖南师范大学附中高三上学期月考三文科数学试卷(解析版) 题型:选择题

已知为虚数单位,若复数,则( )

A.1 B. C. D.

查看答案和解析>>

科目:高中数学 来源:2015-2015学年云南省玉溪市高一上学期期中数学试卷(解析版) 题型:选择题

设全集,集合,则为( )

A. B. C.{-1,1,2} D.

查看答案和解析>>

同步练习册答案