精英家教网 > 高中数学 > 题目详情

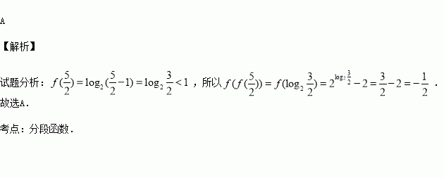
函数( )

A. B. C. D.

练习册系列答案
相关习题

科目:高中数学 来源:2016上海复旦大学附中届高三上期中理科数学试卷(解析版) 题型:填空题

甲校有3600名学生,乙校有5400名学生,丙校有1800名学生.为统计三校学生某方面的情况,计划采用分层抽样法,抽取一个样本容量为90人的样本,则应在甲校抽取的学生数是___________.

查看答案和解析>>

科目:高中数学 来源:2016届宁夏六盘山高中高三上学期第二次月考理科数学试卷(解析版) 题型:选择题

用数学归纳法证明“”时,由的假设证明时,如果从等式左边证明右边,则必须证得右边为( )

A、

B、

C、

D、

查看答案和解析>>

科目:高中数学 来源:2016届湖南省株洲市高三上学期期中理科数学试卷(解析版) 题型:选择题

如图所示,程序框图的输出值( )

A、 B、 C、 D、

查看答案和解析>>

科目:高中数学 来源:2016届湖北武汉华中师大一附等高三上第一次联考文数学卷(解析版) 题型:选择题

已知集合,则( )

A. B. C. D.

查看答案和解析>>

科目:高中数学 来源:2016届福建省高三上学期期中考理科数学试卷(解析版) 题型:选择题

已知△所在的平面内,点满足,且对于任意实数,恒有,则( )

A. B. C. D.

查看答案和解析>>

科目:高中数学 来源:2015-2016学年山西省太原市高二12月月考数学试卷(解析版) 题型:解答题

如图,矩形的两条对角线相交于点边所在直线的方程为,点边所在直线上.

(1)求所在直线的方程;

(2)求矩形外接圆的方程.

查看答案和解析>>

科目:高中数学 来源:2015-2016学年湖南衡阳八中高二上第二次月考理科数学卷(解析版) 题型:选择题

面积为S的平面凸四边形的第条边的边长记为,此四边形内任一点P到第条边的距离记为,若,则.类比以上性质,体积为V的三棱锥的第个面的面积记为,此三棱锥内任一点Q到第个面的距离记为,若,则等于( )

A. B. C. D.

查看答案和解析>>

科目:高中数学 来源:2016届甘肃省高三12月月考文科数学试卷(解析版) 题型:选择题

已知集合,则为( )

A.(0,+) B.(1,+) C.[2,+) D.[1,+

查看答案和解析>>

同步练习册答案