精英家教网 > 高中数学 > 题目详情

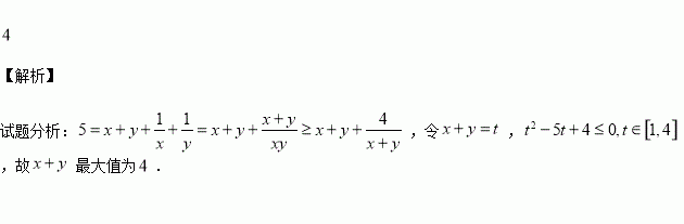
若正实数满足,则的最大值是

练习册系列答案
相关习题

科目:高中数学 来源:2015-2016学年黑龙江绥棱县一中高二6月月考数学(文)试卷(解析版) 题型:填空题

定义:.在区域内任取一点,则满足的概率为

查看答案和解析>>

科目:高中数学 来源:2015-2016学年甘肃天水三中高一下学期期中数学试卷(解析版) 题型:解答题

(1)已知sinα=-2cosα,求sinα、cosα、tanα.

(2)已知角θ的终边上有一点P(x,-1)(x≠0),且tanθ=-x,求sinθ,cosθ的值.

查看答案和解析>>

科目:高中数学 来源:2015-2016学年甘肃天水三中高一下学期期中数学试卷(解析版) 题型:选择题

对总数为N的一批零件抽取一个容量为30的样本,若每个零件被抽取的概率为,则N的值

A.120 B.200 C.150 D.100

查看答案和解析>>

科目:高中数学 来源:2016届辽宁省高三第四次模拟数学(文)试卷(解析版) 题型:解答题

某市小型机动车驾照“科二”考试中共有项考察项目,分别记:①②③④⑤.

(1)某教练将所带名学员“科二”模拟考试成绩进行统计(如表所示), 并打算从恰有项成绩不合格的学员中任意抽出人进行?测(只测不合格的项目), 求?测项目种类不超过项的概率;

(2)如图,其次模拟演练中,教练要求学员甲倒车并转向,在汽车边缘不压射线与射线的前提下,将汽车驶入指定的停车位,根据经验学员甲转向后可使车尾边缘完全落在线段,且位于内各处的机会相等,若,汽车宽度为,求学员甲能按教练要求完成任务的概率.

查看答案和解析>>

科目:高中数学 来源:2016届辽宁省高三第四次模拟数学(文)试卷(解析版) 题型:选择题

如图所示的茎叶图为高三某班名学生的化学考试成绩,图的算法框图中输入的为茎叶图中如图所示学生成绩,则输出分别是( )

A. B.

C. D.

查看答案和解析>>

科目:高中数学 来源:2016届辽宁省高三第四次模拟数学(文)试卷(解析版) 题型:选择题

已知集合,则( )

A. B. C. D.

查看答案和解析>>

科目:高中数学 来源:2016届辽宁省高三第四次模拟数学(理)试卷(解析版) 题型:选择题

数列为等比数列, 前项和记为,若,则下列叙述正确的是( )

A.为偶数 B.为奇数

C.为偶数 D.为奇数

查看答案和解析>>

科目:高中数学 来源:2016-2017学年江西新余一中高二上学期入学考数学试卷(解析版) 题型:选择题

扇形中,,其中的中点,弧上的动点(含端点),若实数满足,则的取值范围是( )

A. B. C. D.

查看答案和解析>>

同步练习册答案