精英家教网 > 高中数学 > 题目详情

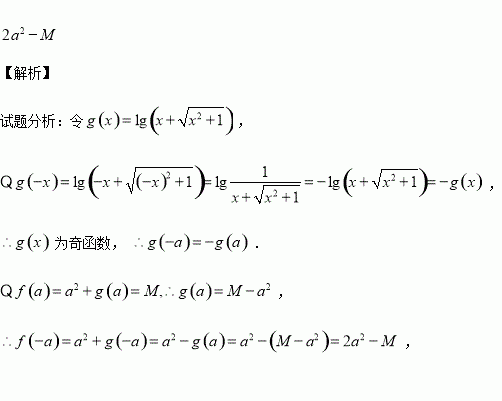
已知函数, 则等于

练习册系列答案
相关习题

科目:高中数学 来源:2015-2016学年江苏省高一创新班上期中数学试卷(解析版) 题型:填空题

若函数为偶函数,则

查看答案和解析>>

科目:高中数学 来源:2015-2016学年安徽省蚌埠市高一上学期期中数学试卷(解析版) 题型:填空题

已知是定义在上的奇函数,且当时,,则上的解析式为

查看答案和解析>>

科目:高中数学 来源:2016届黑龙江牡丹江一中高三10月月考文数学试卷(解析版) 题型:选择题

若存在实常数,使得函数对其公共定义域上的任意实数都满足:恒成立,则称此直线的“隔离直线”,已知函数,有下列命题:

内单调递增;

之间存在“隔离直线”,且的最小值为

之间存在“隔离直线”,且的取值范围是

之间存在唯一的“隔离直线”

其中真命题的个数有( )

A.个 B.个 C.个 D.

查看答案和解析>>

科目:高中数学 来源:2016届贵州省高三上学期第三次月考理科数学试卷(解析版) 题型:选择题

过抛物线)的焦点作倾斜角为的直线,若直线与抛物线在第一象限的交点为并且点也在双曲线)的一条渐近线上,则双曲线的离心率为( )

A. B. C. D.

查看答案和解析>>

科目:高中数学 来源:2015-2016学年重庆市高一上学期期中数学试卷(解析版) 题型:填空题

函数,若对于任意的,都存在,使得成立,则实数的取值范围是__________.

查看答案和解析>>

科目:高中数学 来源:2015-2016学年浙江慈溪中学高一1-3班上期中数学卷(解析版) 题型:填空题

若指数函数的图象过点,则 ;不等式的解集为

查看答案和解析>>

科目:高中数学 来源:2015-2016学年湖南衡阳八中高二上学期期中文科数学试卷(解析版) 题型:选择题

已知命题;命题,则有实数解.那么下列命题中是真命题的是( )

A、 B、 C、 D、

查看答案和解析>>

科目:高中数学 来源:2015-2016学年吉林省扶余市高一上学期期中考试数学试卷(解析版) 题型:选择题

设函数f (x)=x-lnx (x>0),则y=f (x)( )

A.在区间( ,1)、(1,e)内均有零点

B.在区间( ,1)、(1,e)内均无零点

C.在区间( ,1)内有零点,在区间(1,e)内无零点

D.在区间( ,1)内无零点,在区间(1,e)内有零点

查看答案和解析>>

同步练习册答案