精英家教网 > 高中数学 > 题目详情

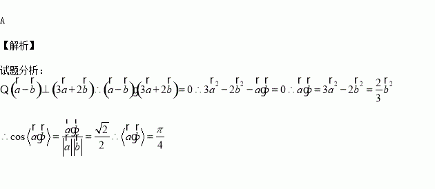
若非零向量满足=,且,则的夹角为( )

A. B. C. D.

练习册系列答案
相关习题

科目:高中数学 来源:2017届新疆生产建设兵团二中高三上月考一数学(理)试卷(解析版) 题型:选择题

已知定义在上的奇函数,满足且在区间上是增函数,若函数在区间上有四个不同的零点,则( )

A.4 B.8 C.-4 D.-8

查看答案和解析>>

科目:高中数学 来源:2015-2016学年辽宁大连市高一下期末数学试卷(解析版) 题型:填空题

已知 ,则_____________

查看答案和解析>>

科目:高中数学 来源:2015-2016学年黑龙江肇东一中高一下学期期末考试数学(文)试卷(解析版) 题型:解答题

已知的面积为,且.

(1)求的值;

(2)若,求的面积.

查看答案和解析>>

科目:高中数学 来源:2015-2016学年黑龙江肇东一中高一下学期期末考试数学(文)试卷(解析版) 题型:选择题

若直线y=x+b与曲线y=3-有公共点,则b的取值范围是( )

A.[1-2,1+2] B.[1-,3]

C.[-1,1+2] D.[1-2,3]

查看答案和解析>>

科目:高中数学 来源:2015-2016学年黑龙江肇东一中高一下学期期末考试数学(文)试卷(解析版) 题型:选择题

用斜二测画法作出一个三角形的直观图,则原三角形面积是直观图面积的( )

A.倍 B.倍 C.倍 D.

查看答案和解析>>

科目:高中数学 来源:2015-2016学年广东茂名十七中高二下学期期末数学(文)试卷(解析版) 题型:解答题

计算:(1)

(2)

查看答案和解析>>

科目:高中数学 来源:2016-2017学年安徽黄山屯溪一中高二上学期摸底数学试卷(解析版) 题型:解答题

已知二次函数)同时满足:

①不等式的解集有且只有一个元素;

②在定义域内存在,使得不等式成立.

设数列的前项和

(1)求的表达式;

(2)求数列的通项公式;

(3)设的前项和为,若对任意恒成立,求实数的取值范围.

查看答案和解析>>

科目:高中数学 来源:2015-2016学年江苏清江中学高二下期中数学(理)试卷(解析版) 题型:填空题

复数(i是虚数单位)的虚部是

查看答案和解析>>

同步练习册答案