精英家教网 > 高中数学 > 题目详情

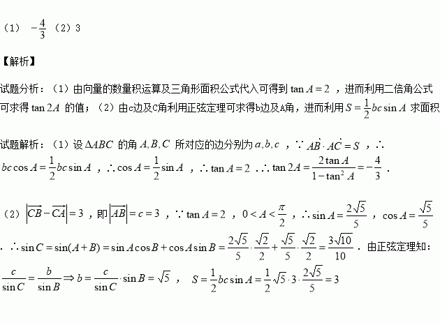
已知的面积为,且.

(1)求的值;

(2)若,求的面积.

练习册系列答案
相关习题

科目:高中数学 来源:2017届新疆生产建设兵团二中高三上月考一数学(理)试卷(解析版) 题型:解答题

选修4-4:坐标系与参数方程

在极坐标系中,已知曲线为曲线上的动点,定点

(1)将曲线 的方程化成直角坐标方程;

(2)求两点的最短距离.

查看答案和解析>>

科目:高中数学 来源:2015-2016学年辽宁省协作校高一下期末数学试卷(解析版) 题型:选择题

已知角均为锐角,且,则的值为( )

A. B.

C. D.

查看答案和解析>>

科目:高中数学 来源:2015-2016学年辽宁大连市高一下期末数学试卷(解析版) 题型:选择题

已知数列{an}满足a1=0,,则a2014等于( )

A.0 B.2 C. D.1

查看答案和解析>>

科目:高中数学 来源:2015-2016学年辽宁大连市高一下期末数学试卷(解析版) 题型:选择题

如果函数的相邻两个零点之间的距离为,则=( )

A.3 B.12 C.6 D.24

查看答案和解析>>

科目:高中数学 来源:2015-2016学年黑龙江肇东一中高一下学期期末考试数学(文)试卷(解析版) 题型:填空题

如图,长方体中,的中点,三棱锥的体积为,四棱锥的体积为,则的值为

查看答案和解析>>

科目:高中数学 来源:2015-2016学年黑龙江肇东一中高一下学期期末考试数学(文)试卷(解析版) 题型:选择题

若非零向量满足=,且,则的夹角为( )

A. B. C. D.

查看答案和解析>>

科目:高中数学 来源:2015-2016学年广东茂名十七中高二下学期期末数学(文)试卷(解析版) 题型:选择题

定义在R上的函数对一切实数都满足,且已知上的值域为(0,1),则在R上的值域是 ( )

A. R B.(0,1) C. D.

查看答案和解析>>

科目:高中数学 来源:2015-2016学年江苏清江中学高二下期中数学(理)试卷(解析版) 题型:填空题

若存在正整数m,使得f(n)=(2n-7)3n+9(n∈N*)能被m整除,则m的最大值为 _____.

查看答案和解析>>

同步练习册答案