精英家教网 > 高中数学 > 题目详情

选修4-4:坐标系与参数方程

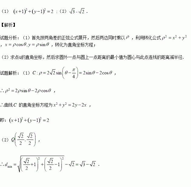
在极坐标系中,已知曲线为曲线上的动点,定点

(1)将曲线 的方程化成直角坐标方程;

(2)求两点的最短距离.

练习册系列答案
相关习题

科目:高中数学 来源:2016届河南六市高三第二次联考数学(文)试卷(解析版) 题型:解答题

选修4-4:坐标系与参数方程

已知曲线C的极坐标方程为,将曲线经过伸缩变换后得到曲线.

(1)求曲线的参数方程;

(2)若点M在曲线上运动,试求出M到曲线C的距离的取值范围.

查看答案和解析>>

科目:高中数学 来源:2016届河南六市高三第二次联考数学(理)试卷(解析版) 题型:选择题

执行如图所示的程序框图,若输入x=2,则输出y的值为( )

A.23 B.11 C.5 D.2

查看答案和解析>>

科目:高中数学 来源:2016-2017学年河北石家庄市高三文9月摸底数学试卷(解析版) 题型:选择题

已知是同一球面上的四个点,其中是正三角形,平面,则该球的表面积为

A. B. C. D.

查看答案和解析>>

科目:高中数学 来源:2016-2017学年河北石家庄市高三文9月摸底数学试卷(解析版) 题型:选择题

下列函数中为偶函数又在上是增函数的是

A. B. C. D.

查看答案和解析>>

科目:高中数学 来源:2017届新疆生产建设兵团二中高三上月考一数学(理)试卷(解析版) 题型:解答题

已知函数的定义域为函数上是减函数,若“”为真,“”为假,试求实数的取值范围.

查看答案和解析>>

科目:高中数学 来源:2017届新疆生产建设兵团二中高三上月考一数学(理)试卷(解析版) 题型:选择题

已知定义在上的奇函数,满足且在区间上是增函数,若函数在区间上有四个不同的零点,则( )

A.4 B.8 C.-4 D.-8

查看答案和解析>>

科目:高中数学 来源:2015-2016学年辽宁省协作校高一下期末数学试卷(解析版) 题型:填空题

关于平面向量,有下列四个命题:

①若

平行,则

③非零向量满足,则的夹角为

④点,与向量同方向的单位向量为

其中真命题的序号为 .(写出所有真命题的序号)

查看答案和解析>>

科目:高中数学 来源:2015-2016学年黑龙江肇东一中高一下学期期末考试数学(文)试卷(解析版) 题型:解答题

已知的面积为,且.

(1)求的值;

(2)若,求的面积.

查看答案和解析>>

同步练习册答案