精英家教网 > 高中数学 > 题目详情

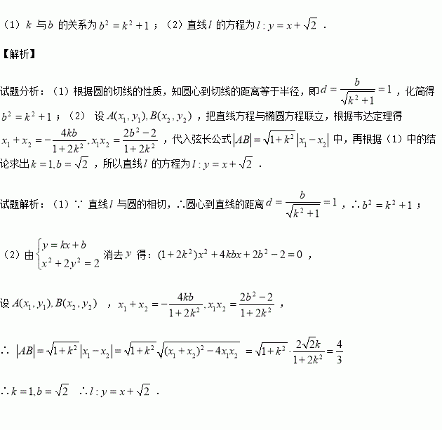
(本题满分12分)如图,已知圆,直线是圆的一条切线,且与椭圆交于不同的两点

(1)求的关系;

(2)若弦的长为,求直线的方程.

练习册系列答案
相关习题

科目:高中数学 来源:2016届云南省玉溪市高三上学期期中文科数学试卷(解析版) 题型:选择题

设点是曲线上的任意一点,点处的切线的倾斜角为,则角的取值范围是( )

A. B.

C. D.

查看答案和解析>>

科目:高中数学 来源:2016届贵州省贵阳市高三上学期第三次月考文科数学试卷(解析版) 题型:选择题

已知命题,则恒成立;命题,若

,则的值域是.下列选项为真命题的是( )

A. B.

C. D.

查看答案和解析>>

科目:高中数学 来源:2015-2016学年江西南昌二中高二上学期期中理科数学试卷(解析版) 题型:选择题

若椭圆过抛物线的焦点, 且与双曲线有相同的焦点,则该椭圆的方程是

A. B. C. D.

查看答案和解析>>

科目:高中数学 来源:2015-2016学年吉林省高一上学期期中数学试卷(解析版) 题型:选择题

若函数的图象经过第二、三、四象限,则有

(A) (B)

(C) (D)

查看答案和解析>>

科目:高中数学 来源:2015-2016学年吉林实验中学高二上学期期中文科数学试卷(解析版) 题型:选择题

从原点O引圆变化时,切点P的轨迹方程是 A.

B.

C.

D.

查看答案和解析>>

科目:高中数学 来源:2015-2016学年吉林实验中学高二上学期期中理科数学试卷(解析版) 题型:解答题

(本小题10分)已知为椭圆的左、右焦点,过做椭圆的弦

(Ⅰ)求证:的周长是常数;

(Ⅱ)若的周长为16,且成等差数列,求椭圆方程.

查看答案和解析>>

科目:高中数学 来源:2016届湖南省株洲市高三上期中理科数学试卷(解析版) 题型:选择题

设集合A={x|},B={y|y=x2},则A∩B=( )

A.[-2,2] B.[0,2]

C.[0,+∞) D.{(-2,4),(2,4)}

查看答案和解析>>

科目:高中数学 来源:2016届江西省新余市高三第四次模拟考理科数学试卷(解析版) 题型:解答题

已知数列是等差数列,是等比数列,其中的等差中项,的等差中项.

(1)求数列的通项公式;

(2)记,求数列的前项和

查看答案和解析>>

同步练习册答案