精英家教网 > 高中数学 > 题目详情
已知双曲线
(1)求焦点F1,F2的坐标;并求出焦点F2到渐近线的距离;
(2)若P为双曲线上的点且∠F1PF2=30°,求△F1PF2的面积S.
【答案】分析:(1)先由题意得:a2=9,b2=16,从而得到:c=5,及点F1,F2的坐标和焦点F2到渐近线:y=的距离;
(2)设|PF1|=m,|PF2|=n由题知:m-n=6①②由①②得mn的值,最后结合面积公式即可求得△F1PF2的面积.
解答:解:(1)由题意得:a2=9,b2=16,
∴c=5,
焦点F1,F2的坐标:F1(-5,0),F2(5,0);
焦点F2到渐近线:y=的距离:d=
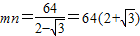
(2)设|PF1|=m,|PF2|=n由题知:m-n=6①

由①②得
所以   
所以   
点评:本小题主要考查双曲线的简单性质、三角形中的几何计算等基础知识,考查运算求解能力.属于基础题.
练习册系列答案
相关习题

科目:高中数学 来源: 题型:

(08年上海卷文)(本题满分16分)已知双曲线

(1)求双曲线的渐近线方程;

(2)已知点的坐标为.设是双曲线上的点,是点关于原点的对称点.

.求的取值范围;

(3)已知点的坐标分别为为双曲线上在第一象限内的点.记为经过原点与点的直线,截直线所得线段的长.试将表示为直线的斜率的函数.

 

查看答案和解析>>

科目:高中数学 来源: 题型:

(本题满分16分)本题共有3个小题,第1小题满分3分,第2小题满分6分,

第3小题满分7分.

已知双曲线

(1)求双曲线的渐近线方程;

(2)已知点的坐标为.设是双曲线上的点,是点关于原点的对称点.

.求的取值范围;

(3)已知点的坐标分别为为双曲线上在第一象限内的点.记为经过原点与点的直线,截直线所得线段的长.试将表示为直线的斜率的函数.

查看答案和解析>>

科目:高中数学 来源: 题型:

已知双曲线

(1)求双曲线的渐近线方程;

(2)已知点的坐标为.设是双曲线上的点,是点关于原点的对称点.

.求的取值范围;

(3)已知点的坐标分别为为双曲线上在第一象限内的点.记为经过原点与点的直线,截直线所得线段的长.试将表示为直线的斜率的函数.

查看答案和解析>>

科目:高中数学 来源: 题型:

(上海卷文20)已知双曲线

(1)求双曲线的渐近线方程;

(2)已知点的坐标为.设是双曲线上的点,是点关于原点的对称点.

.求的取值范围;

(3)已知点的坐标分别为为双曲线上在第一象限内的点.记为经过原点与点的直线,截直线所得线段的长.试将表示为直线的斜率的函数.

查看答案和解析>>

科目:高中数学 来源:2008-2009学年上海市普陀区曹杨二中高三(上)入学摸底数学试卷(解析版) 题型:解答题

已知双曲线
(1)求双曲线C的渐近线方程;
(2)已知点M的坐标为(0,1).设P是双曲线C上的点,Q是点P关于原点的对称点.记.求λ的取值范围;
(3)已知点D,E,M的坐标分别为(-2,-1),(2,-1),(0,1),P为双曲线C上在第一象限内的点.记l为经过原点与点P的直线,s为△DEM截直线l所得线段的长.试将s表示为直线l的斜率k的函数.

查看答案和解析>>

同步练习册答案