精英家教网 > 高中数学 > 题目详情

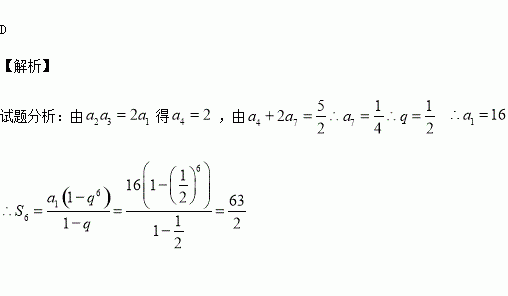
已知数列{an}为等比数列,Sn是它的前n项和,若a2·a3=2a1,且a4与2a7的等差中项为,则S6= ( ).

A.35 B.33 C.31 D.

练习册系列答案
相关习题

科目:高中数学 来源:2015-2016学年甘肃省嘉峪关市高二上学期期中考试文科数学试卷(解析版) 题型:选择题

等差数列的前n项和为Sn ,若( )

A.130 B.170 C.210 D.260

查看答案和解析>>

科目:高中数学 来源:2016届河南省原名校高三上学期第一次联考理科数学试卷(解析版) 题型:选择题

《九章算术》“竹九节”问题:现有一根九节的竹子,自上而下各节的容积成等差数列,上面节的容积共3升,下面3节的容积共4升,则第五节的容积为( )

A.升 B.升 C.升 D.1升

查看答案和解析>>

科目:高中数学 来源:2015-2016学年江西省南昌市高一上学期期中考试数学试卷(解析版) 题型:选择题

已知g(x)=1-2x,f[g(x)]=,则f()等于( )

A.1 B.3 C.15 D.30

查看答案和解析>>

科目:高中数学 来源:2015-2016学年甘肃省嘉峪关市高二上学期期中考试文科数学试卷(解析版) 题型:选择题

若a>b,,则下列命题中成立的是

A. B. C. D.

查看答案和解析>>

科目:高中数学 来源:2016届浙江宁波效实中学高三上期中考试理科数学试卷(解析版) 题型:填空题

已知数列的各项均为正整数,其前项和为,若,则

查看答案和解析>>

科目:高中数学 来源:2016届山东省高三第二次诊断性考试理科数学试卷(解析版) 题型:选择题

设集合,则等于

A. B.

C. D.

查看答案和解析>>

科目:高中数学 来源:2015-2016学年四川绵阳南山中学高二上期中文科数学试卷(解析版) 题型:解答题

(本小题满分为10分)

设等差数列的公差为,前项和为,等比数列的公比为.已知

(Ⅰ)求数列的通项公式;

(Ⅱ)当时,记,求数列的前项和

查看答案和解析>>

科目:高中数学 来源:2015-2016学年陕西省高二上学期期中考试数学试卷(解析版) 题型:选择题

若不等式的解集为,则值是( )

A.-10 B.-14 C.10 D.14

查看答案和解析>>

同步练习册答案