精英家教网 > 高中数学 > 题目详情

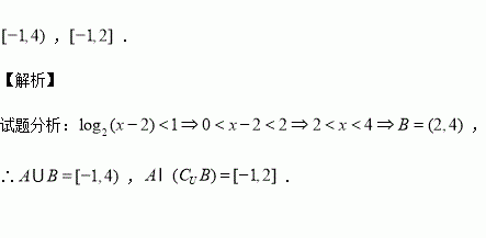
已知全集,集合,集合

练习册系列答案
相关习题

科目:高中数学 来源:2015-2016学年广东省高二上学期期中考试文科数学试卷(解析版) 题型:选择题

直线截圆所得劣弧长为( )

A. B. C. D.

查看答案和解析>>

科目:高中数学 来源:2016届黑龙江哈尔滨六中高三上期中文科数学试卷(解析版) 题型:解答题

已知椭圆的两个焦点为,离心率为,直线与椭圆相交于两点,且满足为坐标原点.

(1)求椭圆的方程;

(2)证明:的面积为定值.

查看答案和解析>>

科目:高中数学 来源:2016届福建省高三第一次月考理科数学试卷(解析版) 题型:解答题

已知是夹角为的单位向量,且

的夹角

查看答案和解析>>

科目:高中数学 来源:2014-2015学年浙江宁波效实中学高三上学期期中文科数学试卷(解析版) 题型:填空题

向量,①若,则

②若的夹角为,则

查看答案和解析>>

科目:高中数学 来源:2015-2016学年四川成都七中高二10月段考文科数学试卷(解析版) 题型:填空题

长、宽、高分别为的长方体,沿相邻面对角线截取一个三棱锥(如图),剩下几何体的体积为

查看答案和解析>>

科目:高中数学 来源:2015-2016学年四川成都七中高二10月段考理科数学试卷(解析版) 题型:选择题

已知变量满足约束条件,则的最大值为( )

A. B. C. D.

查看答案和解析>>

科目:高中数学 来源:2014-2015学年浙江省嵊州市高一下学期期末检测数学试卷(解析版) 题型:解答题

(本小题满分12分)

在数列中,

(Ⅰ)求

(Ⅱ)求证:数列单调递减;

(III)求证:).

查看答案和解析>>

科目:高中数学 来源:2014-2015学年山西省高二下学期期中文科数学试卷(解析版) 题型:填空题

某中学共有学生人,其中高一年级人,高二年级人,高三年级人,现采用分层抽样的方法,抽取人进行体育达标检测,则抽取高二年级学生人数为

查看答案和解析>>

同步练习册答案