精英家教网 > 高中数学 > 题目详情

已知函数

(1)求f(x)的反函数f-1(x);

(2)已知数列{an}中,,求数列{an}的通项公式;

(3)已知数列{bn}中,,求证:对一切

答案:
解析:

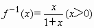
  解:(1)

  ∵0<x<1∴y>0∴――3分

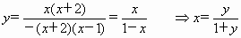
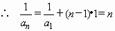
  (2)--5分

  成等差数列,d=1--7分

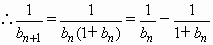
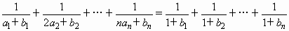
  (3)--8分

  --10分

  --11分

  

  --14分

  又

  ――16分

  


练习册系列答案
相关习题

科目:高中数学 来源: 题型:044

已知函数

(1)f(π)

(2)f(a)=3,求a

查看答案和解析>>

科目:高中数学 来源:2011年普通高等学校招生全国统一考试数学理科试题四川卷 题型:044

已知函数

(1)求f(x)的最小正周期和最小值;

(2)已知,求证:

查看答案和解析>>

科目:高中数学 来源: 题型:

已知函数

      (1)求f(x)的最小正周期;

       (2)求f(x)的单调递减区间;

       (3)函数f(x)的图象经过怎样的平移才能使其对应的函数成为奇函数?

 

查看答案和解析>>

科目:高中数学 来源: 题型:

已知函数.

(1)求f()+f(-)的值;  

(2)当x∈ (其中a∈(0, 1), 且a为常数)时,

f(x)是否存在最小值, 若存在, 求出最小值; 若不存在, 请说明理由.

查看答案和解析>>

科目:高中数学 来源: 题型:

已知函数

(1).求f(-2),f(2)的值。 

(2). 若f(m)=3, 求实数m的值.

查看答案和解析>>

同步练习册答案