精英家教网 > 高中数学 > 题目详情

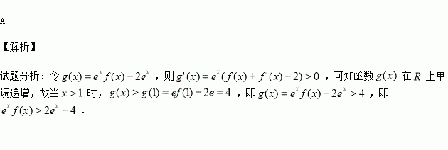
定义在上的函数是其导数,且满足,则不等式 (其中e为自然对数的底数)的解集为( )

A. B.

C. D.

练习册系列答案
相关习题

科目:高中数学 来源:2015-2016学年陕西西藏民族学院附中高一下期末数学试卷(解析版) 题型:选择题

盒中有10个大小,形状完全相同的小球,其中8个白球,2个红球,则从中任取2球,至少有1个白球的概率是( )

A. B. C. D.

查看答案和解析>>

科目:高中数学 来源:2016届河南省高三考前冲刺四文科数学试卷(解析版) 题型:解答题

已知△ABC中,三个内角A,B,C的对边分别是a,b,c,若△ABC的外接圆的半径为,且asinA-csinC=(a-b)sinB.

(1)求∠C;

(2)求△ABC的面积S的最大值.

查看答案和解析>>

科目:高中数学 来源:2016届宁夏高三下三模理科数学试卷(解析版) 题型:解答题

选修4—5:不等式选讲

设函数

(Ⅰ)画出函数y=f(x)的图像;

(Ⅱ)若不等式,(a0,a、bR)恒成立,求实数x的范围.

查看答案和解析>>

科目:高中数学 来源:2016届宁夏高三下三模理科数学试卷(解析版) 题型:解答题

中,分别为角的对边,为边的中点,

(1)若,求的值;

(2)若,求的面积.

查看答案和解析>>

科目:高中数学 来源:2016届宁夏高三下三模理科数学试卷(解析版) 题型:选择题

是数列的前项和,时点在直线上,且的首项是二次函数的最小值,则的值为( )

A. B. C. D.

查看答案和解析>>

科目:高中数学 来源:2016届宁夏高三下三模文科数学试卷(解析版) 题型:解答题

选修4—5:不等式选讲

设函数

(Ⅰ)画出函数y=f(x)的图像;

(Ⅱ)若不等式,(a0,a、bR)恒成立,求实数x的范围.

查看答案和解析>>

科目:高中数学 来源:2016届宁夏高三下三模文科数学试卷(解析版) 题型:选择题

直线y=k(x+1)(k∈R)与不等式组表示的平面区域有公共点,则k的取值范围是( )

A.[-2,2]

B.(-∞, -2][2,+ ∞)

C.[-,]

D.(-∞,-][, +∞)

查看答案和解析>>

科目:高中数学 来源:2016届上海市高三6月模拟理科数学试卷(解析版) 题型:填空题

已知椭圆是椭圆的左右顶点,是椭圆上不与重合的一点,的倾斜角分别为,则______.

查看答案和解析>>

同步练习册答案