精英家教网 > 高中数学 > 题目详情

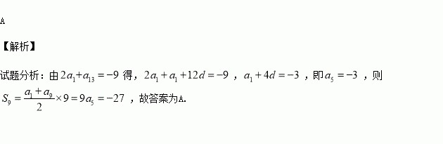
设等差数列的前项和为,已知,则( )

A.-27 B.27 C.-54 D.54

练习册系列答案
相关习题

科目:高中数学 来源:2017届山东肥城市高三上学期升级统测数学(理)试卷(解析版) 题型:选择题

定义在上的函数满足在区间上,,其中,若,则( )

A. B. C. D.

查看答案和解析>>

科目:高中数学 来源:2015-2016内蒙古高二上第二次月考文科数学卷(解析版) 题型:填空题

若点在直线上,则的值等于 .

查看答案和解析>>

科目:高中数学 来源:2017届宁夏高三上学期月考一数学(文)试卷(解析版) 题型:解答题

在长方体中,,过三点的平面截去长方体的一个角后,得如图所示的几何体,且这个几何体的体积为.

(1)求棱的长;

(2)若的中点为 ,求异面直线所成角的余弦值.

查看答案和解析>>

科目:高中数学 来源:2017届宁夏高三上学期月考一数学(文)试卷(解析版) 题型:填空题

已知函数,则的值为___________.

查看答案和解析>>

科目:高中数学 来源:2017届宁夏高三上学期月考一数学(文)试卷(解析版) 题型:选择题

已知向量,若,则实数的值为( )

A.-3 B. C. D.2

查看答案和解析>>

科目:高中数学 来源:2017届黑龙江双鸭山一中高三上学期质检一数学(文)试卷(解析版) 题型:解答题

(Ⅰ)的图象关于原点对称,当时,的极小值为,求的解析式;

(Ⅱ)若上的单调函数,求的取值范围.

查看答案和解析>>

科目:高中数学 来源:2017届黑龙江双鸭山一中高三上学期质检一数学(文)试卷(解析版) 题型:选择题

集合,则( )

A. B.

C. D.

查看答案和解析>>

科目:高中数学 来源:2016-2017贵州遵义航天高级中学高一上入学考试数学卷(解析版) 题型:选择题

如图所示,在矩形ABCD中,AB=,BC=2,对角线AC、BD相交于点O,过点O作OE垂直AC交AD于点E,则AE的长是( )

A. B. C.1 D.

查看答案和解析>>

同步练习册答案