精英家教网 > 高中数学 > 题目详情

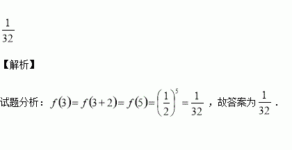
已知函数,则的值为___________.

练习册系列答案
相关习题

科目:高中数学 来源:2017届山东肥城市高三上学期升级统测数学(理)试卷(解析版) 题型:填空题

在平面直角坐标系中, 若双曲线的离心率为,则的值为

查看答案和解析>>

科目:高中数学 来源:2015-2016内蒙古高二上第二次月考文科数学卷(解析版) 题型:解答题

已知等差数列的前项和为,如果

(1)求数列的通项公式.(2)求的最小值及相应的的值.

查看答案和解析>>

科目:高中数学 来源:2015-2016内蒙古高二上第二次月考文科数学卷(解析版) 题型:选择题

,则“ ”是“ ”的( )

A 充分而不必要条件 B 必要而不充分条件

C充要条件 D既不充分也不必要条件

查看答案和解析>>

科目:高中数学 来源:2017届宁夏高三上学期月考一数学(文)试卷(解析版) 题型:解答题

如图,四棱锥中,底面,底面是正方形,分别是边上的中点,且=.

(1)求平面

(2)求四棱锥的表面积.

查看答案和解析>>

科目:高中数学 来源:2017届宁夏高三上学期月考一数学(文)试卷(解析版) 题型:选择题

设等差数列的前项和为,已知,则( )

A.-27 B.27 C.-54 D.54

查看答案和解析>>

科目:高中数学 来源:2017届宁夏高三上学期月考一数学(文)试卷(解析版) 题型:选择题

已知集合,则( )

A. B.

C. D.

查看答案和解析>>

科目:高中数学 来源:2017届黑龙江双鸭山一中高三上学期质检一数学(文)试卷(解析版) 题型:选择题

已知数列满足的前10项和等于( )

A. B.

C. D.

查看答案和解析>>

科目:高中数学 来源:2016-2017贵州遵义航天高级中学高一上入学考试数学卷(解析版) 题型:填空题

2,3,4,5,6这五个数的方差是

查看答案和解析>>

同步练习册答案