精英家教网 > 高中数学 > 题目详情

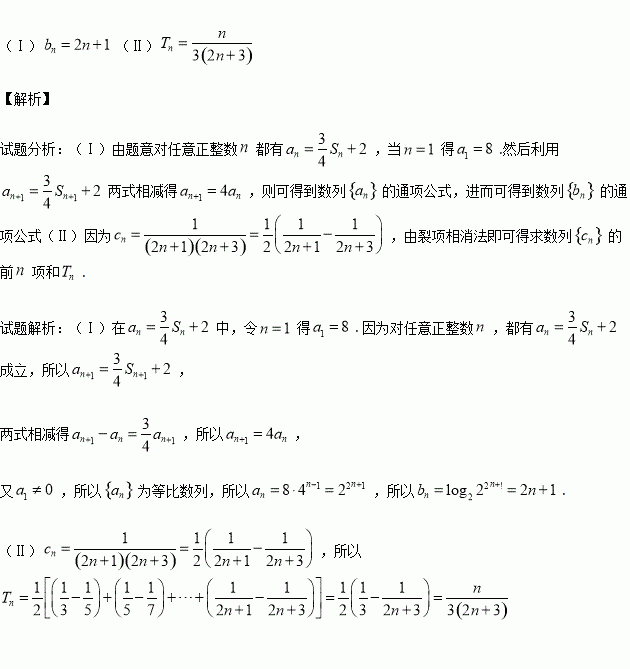
已知数列的前项和为,且对任意正整数都有成立.

(Ⅰ)记,求数列的通项公式;

(Ⅱ)设,求数列的前项和.

练习册系列答案
相关习题

科目:高中数学 来源:2017届四川自贡市高三一诊考试数学(文)试卷(解析版) 题型:选择题

已知集合,则为( )

A. B. C. D.

查看答案和解析>>

科目:高中数学 来源:2017届山西省名校高三9月联考数学(文)试卷(解析版) 题型:选择题

设全集,集合,则的值是( )

A.2 B.8 C.或8 D.2或8

查看答案和解析>>

科目:高中数学 来源:2017届河南百校联盟高三文11月质监数学乙试试卷(解析版) 题型:选择题

如图是一个空间几何体的三视图,则该空间几何体的表面积为( )

A.

B.

C.

D.

查看答案和解析>>

科目:高中数学 来源:2017届河南百校联盟高三理11月质监数学乙试试卷(解析版) 题型:解答题

已知.

(Ⅰ)证明:

(Ⅱ)证明:当时,.

查看答案和解析>>

科目:高中数学 来源:2017届河南百校联盟高三理11月质监数学乙试试卷(解析版) 题型:选择题

已知函数)的图像关于直线对称且在区间上单调,则可取数值的个数为( )

A.1 B.2 C.3 D.4

查看答案和解析>>

科目:高中数学 来源:2017届河南百校联盟高三理11月质监数学乙试试卷(解析版) 题型:选择题

已知正项数列中,),,记数列的前项和为,则的值是( )

A. B. C. D.3

查看答案和解析>>

科目:高中数学 来源:2016-2017学年江苏南通海安县实验中学高二上学期期中数学试卷(解析版) 题型:填空题

在平面直角坐标系中,若直线与圆心为的圆 相交于两点,且为正三角形,则实数的值是 .

查看答案和解析>>

科目:高中数学 来源:2016-2017学年福建莆田二十四中高二理上学期期中考数学试卷(解析版) 题型:选择题

阅读如图所示的程序框图,运行相应的程序,则输出n的值为( )

A.7 B.6 C.5 D.4

查看答案和解析>>

同步练习册答案