精英家教网 > 高中数学 > 题目详情

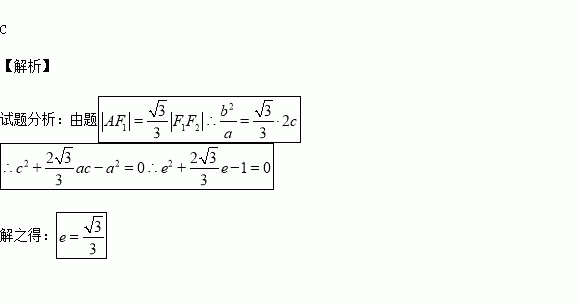
已知是椭圆的两个焦点,过且与椭圆长轴垂直的直线交椭圆于两点,若是正三角形,则这个椭圆的离心率是( )

A. B. C. D.

练习册系列答案
相关习题

科目:高中数学 来源:2015-2016学年湖北省孝感六校联盟高一下学期期中考试文科数学卷(解析版) 题型:填空题

设等比数列{an}的各项均为正数,且a5a6+a4a7=18,则log3a1+log3a2+…+log3a10=

查看答案和解析>>

科目:高中数学 来源:2015-2016学年江西省高二3月月考理科数学试卷(解析版) 题型:解答题

已知双曲线C:的离心率为,实轴长为2;

(1)求双曲线C的标准方程;

(2)已知直线与双曲线C交于不同的两点A,B;且线段AB的中点在圆x2+y2=5上,求实数的值.

查看答案和解析>>

科目:高中数学 来源:2015-2016学年江西省高二3月月考理科数学试卷(解析版) 题型:选择题

方程表示双曲线,则k的取值范围是( )

A.﹣1<k<1 B.k>0 C.k≥0 D.k>1或k<﹣1

查看答案和解析>>

科目:高中数学 来源:2015-2016学年江西省赣州市十三县高二下学期期中文科数学试卷(解析版) 题型:填空题

设函数满足,则 .

查看答案和解析>>

科目:高中数学 来源:2015-2016学年江西省赣州市十三县高二下学期期中文科数学试卷(解析版) 题型:选择题

设a,b是非零实数,且a<b,则下列不等式成立的是( ).

A.a2<b2 B.ab2<a2b C. D.

查看答案和解析>>

科目:高中数学 来源:2015-2016学年江西省赣州市十三县高二下学期期中理科数学试卷(解析版) 题型:解答题

已知椭圆)的焦点是,且,离心率为

(Ⅰ)求椭圆的方程;

(Ⅱ)过椭圆右焦点的直线交椭圆于两点,求的取值范围.

查看答案和解析>>

科目:高中数学 来源:2015-2016学年江西省赣州市十三县高二下学期期中理科数学试卷(解析版) 题型:选择题

已知函数的导函数的图像如左图所示,那么函数的图像最有可能的是( )

查看答案和解析>>

科目:高中数学 来源:2015-2016学年四川省雅安市高一下学期期中理科数学试卷(解析版) 题型:选择题

已知A,B,C是锐角△ABC的三个内角,向量=(sin A,1),=(1,-cos B),则的夹角是( )

A.锐角 B.钝角 C.直角 D.不确定

查看答案和解析>>

同步练习册答案