精英家教网 > 高中数学 > 题目详情

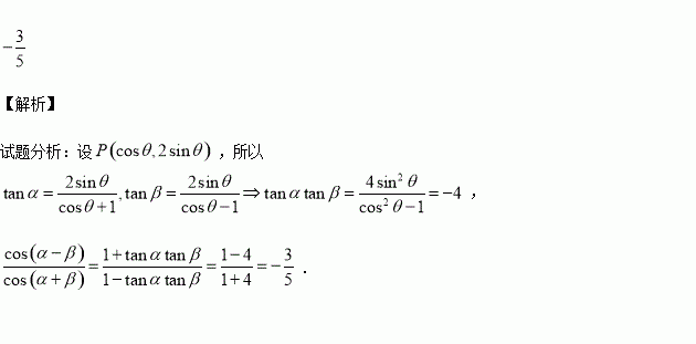
已知椭圆是椭圆的左右顶点,是椭圆上不与重合的一点,的倾斜角分别为,则______.

练习册系列答案
相关习题

科目:高中数学 来源:2017届河南省天一大联考高三上学期段测一数学(理)试卷(解析版) 题型:解答题

.

(Ⅰ)求的解集

(Ⅱ)当时,求证.

查看答案和解析>>

科目:高中数学 来源:2017届河北武邑中学高三上学期周考8.21数学(理)试卷(解析版) 题型:解答题

已知,求.

查看答案和解析>>

科目:高中数学 来源:2017届河北武邑中学高三上学期周考8.21数学(理)试卷(解析版) 题型:选择题

若均为锐角,,则( )

A. B. C. D.

查看答案和解析>>

科目:高中数学 来源:2017届河北定州中学高三上学期周练一数学试卷(解析版) 题型:解答题

在直角坐标系中,曲线的参数方程为为参数),以坐标原点为极点,轴正半轴为极轴建立极坐标系,曲线的极坐标方程为,曲线的极坐标方程为

(1)把曲线的参数方程化为极坐标方程;

(2)曲线与曲线交于,曲线与曲线交于,求

查看答案和解析>>

科目:高中数学 来源:2017届河北定州中学高三上学期周练一数学试卷(解析版) 题型:选择题

已知双曲线以及双曲线的渐近线将第一象限三等分,则双曲线的离心率为( )

A. B.2或

C.2或 D.

查看答案和解析>>

科目:高中数学 来源:2017届河北定州中学高三上学期周练一数学试卷(解析版) 题型:选择题

已知数列满足是其前项和,若,且,则的最小值为( )

A. B.3 C. D.

查看答案和解析>>

科目:高中数学 来源:2017届重庆第八中学高三上学期第一次月考数学(文)试卷(解析版) 题型:选择题

已知均为正数,且,则的最小值为( )

A. B. C. D.

查看答案和解析>>

科目:高中数学 来源:2017届山西怀仁县一中高三上学期开学考数学(文)试卷(解析版) 题型:选择题

奇函数的定义域为,若为偶函数,且,则( )

A. B. C. D.

查看答案和解析>>

同步练习册答案