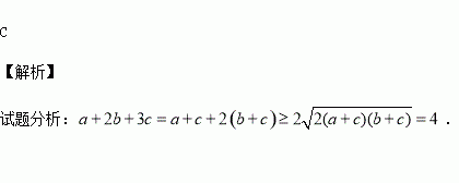
精英家教网 > 高中数学 > 题目详情

已知均为正数,且,则的最小值为( )

A. B. C. D.

练习册系列答案
相关习题

科目:高中数学 来源:2017届河北武邑中学高三上学期周考8.21数学(文)试卷(解析版) 题型:填空题

已知,则的值为__________.

查看答案和解析>>

科目:高中数学 来源:2017届河北定州中学高三上学期周练一数学试卷(解析版) 题型:填空题

已知椭圆是椭圆的左右顶点,是椭圆上不与重合的一点,的倾斜角分别为,则______.

查看答案和解析>>

科目:高中数学 来源:2017届重庆第八中学高三上学期第一次月考数学(文)试卷(解析版) 题型:解答题

已知函数.

(1)当时,求的极值;

(2)若恒成立,求的取值范围.

查看答案和解析>>

科目:高中数学 来源:2017届重庆第八中学高三上学期第一次月考数学(文)试卷(解析版) 题型:填空题

在正项等比数列中,有,则 .

查看答案和解析>>

科目:高中数学 来源:2017届重庆第八中学高三上学期第一次月考数学(文)试卷(解析版) 题型:选择题

函数在区间内的零点个数为( )

A.0 B.1 C.2 D.3

查看答案和解析>>

科目:高中数学 来源:2017届天津耀华中学高三上学期开学考试数学(文)试卷(解析版) 题型:解答题

如图,在四棱锥中,底面是平行四边形,的中点,平面的中点.

(1)证明:平面

(2)证明:平面

(3)求直线与平面所成角的正切值.

查看答案和解析>>

科目:高中数学 来源:2017届山西怀仁县一中高三上学期开学考数学(文)试卷(解析版) 题型:解答题

已知函数

(1)当时,求函数的最小值;

(2)当时,讨论函数的单调性;

(3)是否存在实数,对任意的,且,有恒成立,若存在求出的取值范围,若不存在,说明理由.

查看答案和解析>>

科目:高中数学 来源:2017届山西怀仁县一中高三上学期开学考数学(理)试卷(解析版) 题型:选择题

设锐角△的三个内角的对边分别为成等比数列,且,则角( )

A. B. C. D.

查看答案和解析>>

同步练习册答案