精英家教网 > 高中数学 > 题目详情

求值化简:

(Ⅰ)

(Ⅱ).

 

【答案】

(Ⅰ) ;(Ⅱ) .

【解析】

试题分析:(Ⅰ)利用指数的运算公式:,以及对数的运算公式:进行计算;(Ⅱ)利用三角函数的诱导公式:,以及二倍角公式进行计算.

试题解析:(Ⅰ)

;                                         6分

(Ⅱ)

 

                          12分

考点:1.指数与指数幂的运算;2.对数运算;3.三角函数的诱导公式;4.二倍角公式

 

练习册系列答案
相关习题

科目:高中数学 来源: 题型:

求值化简:
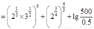
(Ⅰ)(
32
×
3
6+(
2
2
 
4
3
+lg500-lg0.5
 (Ⅱ)
sin(π-2α)•cos(π-α)
1+sin(
π
2
+2α)

查看答案和解析>>

科目:高中数学 来源: 题型:

(1)化简:
1-2sin100°cos280°
1-cos2170°
-cos370°

(2)已知:sinαcosα=
1
4
,且
π
4
<α<
π
2
,求cosα-sinα的值.

查看答案和解析>>

科目:高中数学 来源: 题型:

先化简,后求值:(
a
a-2
-
4
a2-2a
a+2
a2
,其中a=3.

查看答案和解析>>

科目:高中数学 来源:2013-2014学年山东省威海市高三上学期期中考试理科数学试卷(解析版) 题型:解答题

求值化简:

(Ⅰ)

(Ⅱ).

 

查看答案和解析>>

同步练习册答案