精英家教网 > 高中数学 > 题目详情

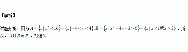
已知集合,则

A. B. C. D.R

练习册系列答案
相关习题

科目:高中数学 来源:2016届辽宁大连八中、二十四中高三联合模拟理数学试卷(解析版) 题型:填空题

若函数,则 .

查看答案和解析>>

科目:高中数学 来源:2015-2016学年湖北省高二3月月考理科数学试卷(解析版) 题型:填空题

下列正确的是

①已知命题p:|5x-2|>3,命题q:>0,则?q是?p的必要不充分条件;

②在△ABC中,A>B是sinA>sinB的充分不必要条件;

③在△ABC中,tanAtanB>1是△ABC为锐角三角形的充要条件;

④在△ABC中,>0是△ABC为钝角三角形的充要条件;

⑤在△ABC中,=是||=||的充要条件;

⑥两条直线互相平行是这两条直线斜率相等的充要条件;

查看答案和解析>>

科目:高中数学 来源:2015-2016学年贵州省高一下期中数学试卷(解析版) 题型:解答题

已知数列的前项和为

(1)求数列的通项公式;.

(2)若,求数列的前项和.

查看答案和解析>>

科目:高中数学 来源:2015-2016学年贵州省高一下期中数学试卷(解析版) 题型:填空题

中,,则 .

查看答案和解析>>

科目:高中数学 来源:2015-2016学年贵州省高一下期中数学试卷(解析版) 题型:选择题

设向量满足

A. 1 B. 2 C. 3 D. 5

查看答案和解析>>

科目:高中数学 来源:2016届河南省南阳、周口、驻马店等六市高三第一次联考文科数学试卷(解析版) 题型:解答题

已知函数

(1)求上的最小值;

(2)若关于的不等式只有两上整数解,求实数的取值范围.

查看答案和解析>>

科目:高中数学 来源:2016届河南省南阳、周口、驻马店等六市高三第一次联考文科数学试卷(解析版) 题型:选择题

向量均为非零向量,,则的夹角为( )

A. B. C. D.

查看答案和解析>>

科目:高中数学 来源:2016届河南省郑州市高三第二次模拟考试理科数学试卷(解析版) 题型:选择题

,向量的长度不超过的概率为( )

A. B. C. D.

查看答案和解析>>

同步练习册答案