精英家教网 > 高中数学 > 题目详情

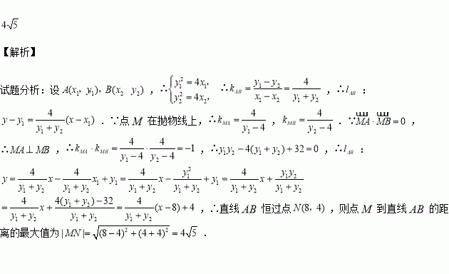
已知抛物线上一点,点是抛物线上的两动点,且,则点到直线的距离的最大值是 .

练习册系列答案
相关习题

科目:高中数学 来源:2015-2016学年河北冀州中学高一下首次月考理科数学卷(解析版) 题型:选择题

已知函数,则函数的零点个数为()

A.1个 B.2个 C.3个 D.4个

查看答案和解析>>

科目:高中数学 来源:2016届云南省高三适应性月考八文科数学试卷(解析版) 题型:解答题

已知函数在点处的切线为.

(1)求函数的解析式;

(2)若,且对任意,都有成立,求的最大值.

查看答案和解析>>

科目:高中数学 来源:2016届云南省高三适应性月考八文科数学试卷(解析版) 题型:选择题

已知则“”是“”的( )

A.充分不必要条件 B.必要不充分条件

C.既不充分也不必要 D.充要条件

查看答案和解析>>

科目:高中数学 来源:2016届云南省高三适应性月考八理科数学试卷(解析版) 题型:解答题

已知函数在点处的切线为.

(1)求函数的解析式;

(2)若,且存在,使得成立,求的最小值.

查看答案和解析>>

科目:高中数学 来源:2016届云南省高三适应性月考八理科数学试卷(解析版) 题型:选择题

已知函数,则的取值范围是( )

A. B. C. D.

查看答案和解析>>

科目:高中数学 来源:2016届云南省高三适应性月考八理科数学试卷(解析版) 题型:选择题

已知,则下列结论正确的是( )

A. B. C. D.

查看答案和解析>>

科目:高中数学 来源:2016届西藏日喀则一中高三下学期二模文科数学试卷(解析版) 题型:选择题

已知函数上是减函数,恒成立,则的( )

A.充分不必要条件 B.必要不充分条件

C.充要条件 D.既不充分也不必要条件

查看答案和解析>>

科目:高中数学 来源:2016届江苏省高三考前一周双练三模数学试卷(解析版) 题型:填空题

已知函数是偶函数,直线与函数的图象自左向右依次交于四个不同点,则实数

查看答案和解析>>

同步练习册答案