精英家教网 > 高中数学 > 题目详情

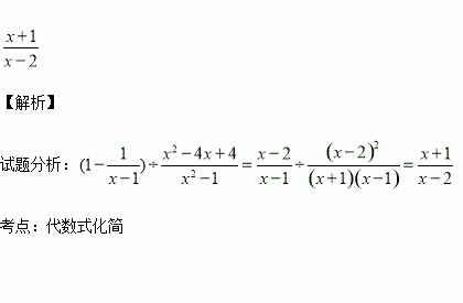
化简:=

练习册系列答案
相关习题

科目:高中数学 来源:2015-2016学年陕西省西安市高一10月月考数学试卷(解析版) 题型:选择题

若函数的定义域为,值域为,则的取值范围是( )

A.(0,4] B. C. D.

查看答案和解析>>

科目:高中数学 来源:2015-2016学年湖北省高二上学期第一次月考理科数学试卷(解析版) 题型:解答题

(本小题满分12分)已知两条直线,求满足下列条件的的值

(1),且过点

(2),且坐标原点到这两条直线的距离相等.

查看答案和解析>>

科目:高中数学 来源:2015-2016学年重庆市高二上学期第一次月考数学试卷(解析版) 题型:解答题

如图,在底面是菱形的四棱锥P—ABCD中,∠ABC=600,PA=AC=a,PB=PD=,点E在PD上,且PE:ED=2:1.

(Ⅰ)证明PA⊥平面ABCD;

(Ⅱ)求以AC为棱,EAC与DAC为面的二面角的大小;

(Ⅲ)在棱PC上是否存在一点F,使BF//平面AEC?证明你的结论.

查看答案和解析>>

科目:高中数学 来源:2015-2016学年浙江省高一上学期第一次月考数学试卷(解析版) 题型:填空题

已知函数,则满足不等式f(1﹣x2)>f(2x)的x的范围是

查看答案和解析>>

科目:高中数学 来源:2015-2016学年河南省高一上期第一次月考数学试卷(解析版) 题型:填空题

若不等式对任意恒成立,则的取值范围是

查看答案和解析>>

科目:高中数学 来源:2015-2016学年河北邢台市高二上学期第一次月考文科数学试卷(解析版) 题型:选择题

是两个不同的平面,是两条不同的直线,且,下列四个命题中,正确的是( )

A.若,则

B.若,则

C.若,则

D.若,则

查看答案和解析>>

科目:高中数学 来源:2015-2016学年河北衡水冀州中学高二上学期第一次月考理科数学试卷(解析版) 题型:选择题

则下列不等式:(1);(2);(3)中,正确的不等式有( )

A、1个 B、2个 C、3个 D、0个

查看答案和解析>>

科目:高中数学 来源:2015-2016学年湖南省长沙市推荐高二上学期开学分班数学试卷(解析版) 题型:解答题

(本小题满分13分)设关于的一元二次方程)有两根,且满足

(1)试用表示

(2)求证:数列是等比数列;

(3)当时,求数列的通项公式,并求数列的前项和

查看答案和解析>>

同步练习册答案