精英家教网 > 高中数学 > 题目详情
已知二次函数f(x)=x2﹣ax+a(x∈R)同时满足:
①不等式f(x)≤0的解集有且只有一个元素;
②在定义域内存在0<x1<x2,使得不等式f( x1)>f( x2)成立.
设数列{an}的前n项和 Sn=f(n).
(1)求函数f(x)的表达式;
(2)求数列{ an}的通项公式.
解:(1)∵不等式f(x)≤0的解集有且只有一个元素,
∴△=a2﹣4a=0,解得a=0或a=4.
当a=0时,函数f(x)=x2在(0,+∞)上递增,不满足条件②;
当a=4时,函数f(x)=x2﹣4x+4在(0,2)上递减,满足条件②.
综上得a=4,即f(x)=x2﹣4x+4.
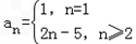
(2)由(1)知Sn=n2﹣4n+4=(n﹣2)2
当n=1时,a1=S1=1;
当n≥2时an=Sn﹣Sn﹣1=(n﹣2)2﹣(n﹣3)2=2n﹣5.
练习册系列答案
相关习题

科目:高中数学 来源: 题型:

已知二次函数f(x)=x2+2(m-2)x+m-m2
(I)若函数的图象经过原点,且满足f(2)=0,求实数m的值.
(Ⅱ)若函数在区间[2,+∞)上为增函数,求m的取值范围.

查看答案和解析>>

科目:高中数学 来源: 题型:

已知二次函数f(x)=ax2+bx+c(a≠0)的图象过点(0,1),且与x轴有唯一的交点(-1,0).
(Ⅰ)求f(x)的表达式;
(Ⅱ)设函数F(x)=f(x)-kx,x∈[-2,2],记此函数的最小值为g(k),求g(k)的解析式.

查看答案和解析>>

科目:高中数学 来源: 题型:

已知二次函数f(x)=x2-16x+q+3.
(1)若函数在区间[-1,1]上存在零点,求实数q的取值范围;
(2)若记区间[a,b]的长度为b-a.问:是否存在常数t(t≥0),当x∈[t,10]时,f(x)的值域为区间D,且D的长度为12-t?请对你所得的结论给出证明.

查看答案和解析>>

科目:高中数学 来源: 题型:

(2013•广州一模)已知二次函数f(x)=x2+ax+m+1,关于x的不等式f(x)<(2m-1)x+1-m2的解集为(m,m+1),其中m为非零常数.设g(x)=
f(x)x-1

(1)求a的值;
(2)k(k∈R)如何取值时,函数φ(x)=g(x)-kln(x-1)存在极值点,并求出极值点;
(3)若m=1,且x>0,求证:[g(x+1)]n-g(xn+1)≥2n-2(n∈N*).

查看答案和解析>>

科目:高中数学 来源: 题型:

(1)已知二次函数f(x)的图象与x轴的两交点为(2,0),(5,0),且f(0)=10,求f(x)的解析式.
(2)已知二次函数f(x)的图象的顶点是(-1,2),且经过原点,求f(x)的解析式.

查看答案和解析>>

同步练习册答案