精英家教网 > 高中数学 > 题目详情

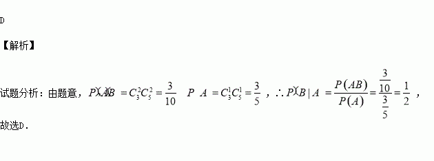
中不放回地依次取个数,事件表示“第次取到的是奇数”,事件表示“第次取到的是奇数”,则( )

A. B. C. D.

练习册系列答案
相关习题

科目:高中数学 来源:2016届上海市高三第一次月考数学试卷(解析版) 题型:填空题

已知数列的前项和,对任意恒成立,则实数的取值范围是__________.

查看答案和解析>>

科目:高中数学 来源:2016-2017学年山东淄博六中高二上自主训练一数学试卷(解析版) 题型:解答题

已知向量,记

(1)若,求的值;

(2)在锐角中,角的对边分别是,且满足,求的取值范围.

查看答案和解析>>

科目:高中数学 来源:2016-2017学年山东淄博六中高二上自主训练一数学试卷(解析版) 题型:选择题

与圆的位置关系是( )

A.相切 B.相交 C.相离 D.内含

查看答案和解析>>

科目:高中数学 来源:2015-2016学年福建师大附中高二下期末数学(理)试卷(解析版) 题型:选择题

若多项式,则的值为( )

A. B. C. D.

查看答案和解析>>

科目:高中数学 来源:2017届新疆兵团农二师华山中学高三上学前考数学理试卷(解析版) 题型:解答题

选修4-5:不等式选讲

设函数f(x)=|2x﹣1|﹣|x+2|.

(Ⅰ)解不等式f(x)>0;

(Ⅱ)若,使得f(x0)+2m2<4m,求实数m的取值范围。

查看答案和解析>>

科目:高中数学 来源:2017届新疆兵团农二师华山中学高三上学前考数学理试卷(解析版) 题型:解答题

已知数列{an}前n项和为Sn,满足Sn=2an-2n(n∈N*).

(I)证明:{an+2}是等比数列,并求{an}的通项公式;

(Ⅱ)数列{bn}满足bn=log2(an+2),Tn为数列{}的前n项和,若对正整数a都成立,求a的取值范围。

查看答案和解析>>

科目:高中数学 来源:2017届湖北襄阳四中高三七月周考二数学(文)试卷(解析版) 题型:选择题

已知复数是纯虚数,则实数=( )

A.3 B.﹣3 C. D.

查看答案和解析>>

科目:高中数学 来源:2016届云南昆明一中高三仿真模拟七数学(理)试卷(解析版) 题型:解答题

设数列的前项和为,且点在直线上.

(1)求数列的通项公式;

(2)是否存在实数,使得数列为等差数列?若存在,求出的值;若不存在,则说明理由.

查看答案和解析>>

同步练习册答案