精英家教网 > 高中数学 > 题目详情

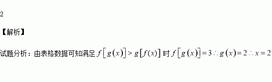
已知函数分别由下表给出:

满足的值是

练习册系列答案
相关习题

科目:高中数学 来源:2016届河南省原名校高三上学期第一次联考文科数学试卷(解析版) 题型:解答题

(本小题满分12分)已知向量

(1)当时,求的值;

(2)设函数,已知在中,内角的对边分别为,若,求当时,的取值范围.

查看答案和解析>>

科目:高中数学 来源:2015-2016学年福建省师大附高二上期中理科数学试卷(解析版) 题型:选择题

下列函数中,最小值为的是( )

A.

B.

C.

D.

查看答案和解析>>

科目:高中数学 来源:2015-2016学年江苏省泰兴市高二上学期期中考试数学试卷(解析版) 题型:填空题

与双曲线有相同的渐近线,且过点的双曲线的标准方程是________

查看答案和解析>>

科目:高中数学 来源:2015-2016学年湖北省高二上学期期中理科数学试卷(解析版) 题型:填空题

图形如图所示,为了求其面积,小明在封闭的图中找出了一个半径为1 m的圆,在不远处向圈内掷石子,且记录如下:

50次

150次

300次

石子落在内(含上)的次数m

14

43

93

石子落在阴影内次数n

29

85

186

则估计封闭图形的面积为________m2.

查看答案和解析>>

科目:高中数学 来源:2015-2016学年河南省英文学校高一上学期期中考试数学试卷(解析版) 题型:解答题

(本小题满分12分)已知函数是R上的奇函数,且当x<0时,函数的解析式为求函数的解析式.

查看答案和解析>>

科目:高中数学 来源:2015-2016学年广东省英德市高二上学期第一次月考理科数学试卷(解析版) 题型:选择题

对于直角坐标平面内的任意两点A(x,y)、B(x,y),定义它们之间的一种“距离”:

‖AB‖=︱x-x︱+︱y-y︱.

给出下列三个命题:

①若点C在线段AB上,则‖AC‖+‖CB‖=‖AB‖;

②在△ABC中,若∠C=90°,则‖AC‖+‖CB‖=‖AB‖

③在△ABC中,‖AC‖+‖CB‖>‖AB‖.

其中真命题的个数为 ( )

A.0 B.1 C.2 D.3

查看答案和解析>>

科目:高中数学 来源:2014-2015学年浙江省等三校高二上学期期中考试数学试卷(解析版) 题型:填空题

若△ABC满足a=3,b=4, c=2则cos B=________.

查看答案和解析>>

科目:高中数学 来源:2015-2016学年江苏省泰州市姜堰区高一上学期期中考试数学试卷(解析版) 题型:填空题

若函数的零点为,满足,则k=

查看答案和解析>>

同步练习册答案