精英家教网 > 高中数学 > 题目详情

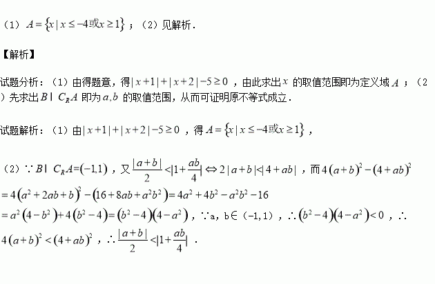
函数

(1)若,求函数的定义域

(2)设,当实数时,证明:

练习册系列答案
相关习题

科目:高中数学 来源:2015-2016学年湖南省邵阳市高一上学期期中考试试卷(解析版) 题型:选择题

下列等式成立的是

A.log2(8-4)=log2 8-log2 4

B.

C.log2 23=3log2 2

D.log2(8+4)=log2 8+log2 4

查看答案和解析>>

科目:高中数学 来源:2016届浙江省高三上学期期中理科数学试卷(解析版) 题型:选择题

给出下列3个命题,其中正确的个数是 ( )

①若“命题为真”,则“命题为真”;

②命题“”的否定是“”;

③“”是““的充要条件 .

A.1个 B.2个 C. 3个 D.0个

查看答案和解析>>

科目:高中数学 来源:2016届湖南省六校高三12月联考理科数学卷(解析版) 题型:解答题

选修4-5:不等式选讲

设函数

(1)当时,求使取值范围;

(2)若恒成立,求的取值范围.

查看答案和解析>>

科目:高中数学 来源:2016届安徽省等高三第三次联考文科数学卷(解析版) 题型:解答题

已知数列满足

(1)求证:为等比数列,并求出的通项公式;

(2)若,求的前n项和

查看答案和解析>>

科目:高中数学 来源:2016届安徽省等高三第三次联考理科数学试卷(解析版) 题型:选择题

的终边与单位圆的交点的横坐标为,则的值为( )

A. B. C. D.

查看答案和解析>>

科目:高中数学 来源:2015-2016学年浙江省高二上期中数学试卷(解析版) 题型:解答题

如图,已知四边形是边长为1的正方形,⊥平面⊥平面

(Ⅰ)证明:

(Ⅱ)若,且二面角的大小为,求的长.

查看答案和解析>>

科目:高中数学 来源:2015-2016学年浙江省高一4-6班上期中数学卷(解析版) 题型:填空题

已知函数有且仅有一个正实数的零点,则实数的取值范围是

查看答案和解析>>

科目:高中数学 来源:2015-2016学年辽宁沈阳二中高二12月月考文科数学卷(解析版) 题型:解答题

设各项均为正数的数列的前项和为,满足构成等比数列.

(1)证明:

(2)求数列的通项公式.

查看答案和解析>>

同步练习册答案