精英家教网 > 高中数学 > 题目详情

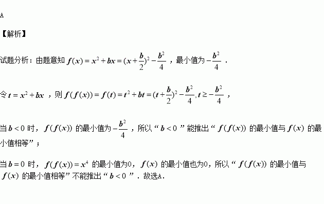
已知函数f(x)=x2+bx,则“b<0”是“f(f(x))的最小值与f(x)的最小值相等”的( )

A.充分不必要条件 B.必要不充分条件

C.充分必要条件 D.既不充分也不必要条件

练习册系列答案
相关习题

科目:高中数学 来源:2016年全国普通高等学校招生统一考试理科数学(四川卷参考版) 题型:填空题

在平面直角坐标系中,当P(x,y)不是原点时,定义P的“伴随点”为

当P是原点时,定义P的“伴随点“为它自身,平面曲线C上所有点的“伴随点”所构成的曲线定义为曲线C的“伴随曲线”.现有下列命题:

①若点A的“伴随点”是点,则点的“伴随点”是点A

②单位圆的“伴随曲线”是它自身;

③若曲线C关于x轴对称,则其“伴随曲线”关于y轴对称;

④一条直线的“伴随曲线”是一条直线.

其中的真命题是_____________(写出所有真命题的序列).

查看答案和解析>>

科目:高中数学 来源:2016年全国普通高等学校招生统一考试理科数学(浙江卷参考版) 题型:填空题

已知向量a、b, |a| =1,|b| =2,若对任意单位向量e,均有 |a·e|+|b·e| ,则a·b的最大值是

查看答案和解析>>

科目:高中数学 来源:2016年全国普通高等学校招生统一考试文科数学(浙江卷参考版) 题型:解答题

如图,在三棱台ABC-DEF中,平面BCFE⊥平面ABC,∠ACB=90°,BE=EF=FC=1,BC=2,AC=3.

(Ⅰ)求证:BF⊥平面ACFD;

(Ⅱ)求直线BD与平面ACFD所成角的余弦值.

查看答案和解析>>

科目:高中数学 来源:2016年全国普通高等学校招生统一考试文科数学(浙江卷参考版) 题型:填空题

已知,则______.

查看答案和解析>>

科目:高中数学 来源:2016年全国普通高等学校招生统一考试文科数学(浙江卷参考版) 题型:选择题

已知全集U={1,2,3,4,5,6},集合P={1,3,5},Q={1,2,4},则=( )

A.{1} B.{3,5} C.{1,2,4,6} D.{1,2,3,4,5}

查看答案和解析>>

科目:高中数学 来源:2016年全国普通高等学校招生统一考试数学(江苏卷参考版) 题型:解答题

.对数列的子集T,若,定义;若,定义.例如:时,.现设是公比为3的等比数列,且当时,.

(1)求数列的通项公式;

(2)对任意正整数,若,求证:

(3)设,求证:.

查看答案和解析>>

科目:高中数学 来源:2016年全国普通高等学校招生统一考试数学(江苏卷参考版) 题型:填空题

在平面直角坐标系xOy中,双曲线的焦距是________________.

查看答案和解析>>

科目:高中数学 来源:2016年全国普通高等学校招生统一考试文科数学(天津卷参考版) 题型:选择题

甲、乙两人下棋,两人下成和棋的概率是,甲获胜的概率是,则甲不输的概率为( )

(A) (B) (C) (D)

查看答案和解析>>

同步练习册答案