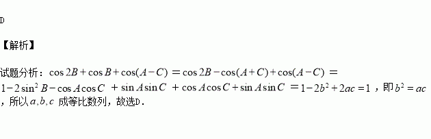
精英家教网 > 高中数学 > 题目详情

中,的对边,且,则( ).

A.成等差数列

B.成等差数列

C.成等比数列

D.成等比数列

练习册系列答案
相关习题

科目:高中数学 来源:2016届辽宁省大连市高三10月月考文科数学试卷(解析版) 题型:解答题

(本小题满分12分)的内角所对的边分别为,向量平行.

(Ⅰ)求

(Ⅱ)若的面积.

查看答案和解析>>

科目:高中数学 来源:2015-2016学年河北省高二上学期期中数学试卷(解析版) 题型:填空题

某大学为了解在校本科生对参加某项社会实践活动的意向,拟采用分层抽样的方法,

从该校四个年级的本科生中抽取一个容量为的样本进行调查.已知该校一年级、二年级、三年级、四年级的本科生人数之比为,则应从一年级本科生中抽取 名学生.

查看答案和解析>>

科目:高中数学 来源:2016届浙江省高三期中理科数学试卷(解析版) 题型:填空题

所在平面上有三点,满足,则的面积与的面积比为( )

A. B. C. D.

查看答案和解析>>

科目:高中数学 来源:2016届江西省高三上学期期中文科数学试卷(解析版) 题型:选择题

是等差数列的前项和,若,则=( ).

A.5 B.7 C.9 D.11

查看答案和解析>>

科目:高中数学 来源:2016届江苏省高三周练数学试卷(解析版) 题型:填空题

袋子里有两个不同的红球和两个不同的白球,从中任意取两个球,则这两个球颜色不相同的概率为

查看答案和解析>>

科目:高中数学 来源:2016届吉林省高三上学期二模理科数学试卷(解析版) 题型:解答题

(本小题满分12分)设,曲线在点处的切线与直线垂直.

(1)求的值;

(2)若恒成立,求的取值范围;

(3)求证:

查看答案和解析>>

科目:高中数学 来源:2016届甘肃省高三上学期期中文科数学试卷(解析版) 题型:选择题

设向量a=(-1,2),b=(m,1),如果向量a+2b与2a-b平行,则a 与b的数量积等于( )

A.- B.- C. D.

查看答案和解析>>

科目:高中数学 来源:2015-2016学年广东省高一上学期期中数学试卷(解析版) 题型:选择题

已知函数,那么( )

(A) (B) (C) (D)

查看答案和解析>>

同步练习册答案