精英家教网 > 高中数学 > 题目详情

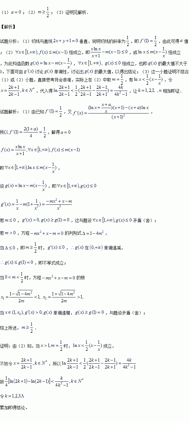
(本小题满分12分)设,曲线在点处的切线与直线垂直.

(1)求的值;

(2)若恒成立,求的取值范围;

(3)求证:

练习册系列答案
相关习题

科目:高中数学 来源:2014-2015学年河北省高二上第二次段考理科数学试卷(解析版) 题型:选择题

过点(2,0)且与直线x﹣2y﹣1=0垂直的直线方程是( )

A.x﹣2y﹣2=0 B.x﹣2y+2=0 C.2x+y﹣4=0 D.x+2y﹣2=0

查看答案和解析>>

科目:高中数学 来源:2016届浙江省高三期中文科数学试卷(解析版) 题型:选择题

已知棱长为2的正方体是过顶点圆上的一点,中点,则与面所成角余弦值的取值范围是( )

A. B. C. D.

查看答案和解析>>

科目:高中数学 来源:2016届江西省高三上学期期中理科数学试卷(解析版) 题型:选择题

中,的对边,且,则( ).

A.成等差数列

B.成等差数列

C.成等比数列

D.成等比数列

查看答案和解析>>

科目:高中数学 来源:2016届吉林省高三上学期二模文科数学试卷(解析版) 题型:解答题

(本题满分12分)四棱锥底面是平行四边形,面,,,分别为的中点.

(1)求证:

(2)求证:

查看答案和解析>>

科目:高中数学 来源:2016届吉林省高三上学期二模理科数学试卷(解析版) 题型:选择题

下列说法中,正确的是( )

A.数据5,4,4,3,5,2的众数是4

B.一组数据的标准差是这组数据的方差的平方

C.数据2,3,4,5的标准差是数据4,6,8,10的标准差的一半

D.频率分布直方图中各小长方形的面积等于相应各组的频数

查看答案和解析>>

科目:高中数学 来源:2016届甘肃省高三上学期期中文科数学试卷(解析版) 题型:解答题

(本小题满分10分)选修4-1:几何证明选讲

如图,AB是⊙O的一条切线,切点为B,直线ADE,CFD,CGE都是⊙O的割线,已知AC=AB.

(1)若CG=1,CD=4,求的值.

(2)求证:FG//AC;

查看答案和解析>>

科目:高中数学 来源:2015-2016学年山东省高一10月月考数学试卷(解析版) 题型:解答题

设全集是实数集..

(1)当时,求

(2)若,求实数的取值范围.

查看答案和解析>>

科目:高中数学 来源:2014-2015学年山西襄汾赵曲中学高一上学期第一次月考人教版数学试卷(解析版) 题型:选择题

方程x2-px+6=0的解集为M,方程x2+6x-q=0的解集为N,且M∩N={2},那么p+q=( )

A.21 B.8 C.6 D.7

查看答案和解析>>

同步练习册答案