精英家教网 > 高中数学 > 题目详情
已知函数,f(x)=alnx-ax-3(a∈R).
(1 )当a=1时,求函数f(x)的单调区间;
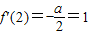
(2)若函数y=f(x)的图象在点(2,f(2))处的切线的倾斜角为45°,问:m在什么范围取值时,对于任意的t[1,2],函数在区间(t,3)丨上总存在极值?
【答案】分析:利用导数求函数的单调区间的步骤是①求导函数f′(x);②解f′(x)>0(或<0);③得到函数的增区间(或减区间),
对于本题的(1)在求单调区间时要注意函数的定义域以及对参数a的讨论情况;
(2)点(2,f(2))处的切线的倾斜角为45°,即切线斜率为1,即f'(2)=1,可求a值,代入得g(x)的解析式,由t∈[1,2],且g(x)在区间(t,3)上总不是单调函数可知:,于是可求m的范围.
解答:解:(Ⅰ)
当a=1时,
令导数大于0,可解得0<x<1,令导数小于0,可解得x<0(舍)或x>1
故函数的单调增区间为(0,1),单调减区间是(1,+∞)
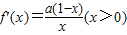
(Ⅱ) 得a=-2,f(x)=-2lnx+2x-3

∴g'(x)=3x2+(m+4)x-2
∵g(x)在区间(t,3)上总不是单调函数,且g′(0)=-2

由题意知:对于任意的t∈[1,2],g′(t)<0恒成立,
所以有:

点评:此题是个难题.本题考查利用函数的导数来求函数的单调区间,已知函数曲线上一点求曲线的切线方程即对函数导数的几何意义的考查,考查求导公式的掌握情况.含参数的数学问题的处理,构造函数求解证明不等式问题.
练习册系列答案
相关习题

科目:高中数学 来源: 题型:

已知函数y=f(x)的反函数.定义:若对给定的实数a(a≠0),函数y=f(x+a)与y=f-1(x+a)互为反函数,则称y=f(x)满足“a和性质”;若函数y=f(ax)与y=f-1(ax)互为反函数,则称y=f(x)满足“a积性质”.
(1)判断函数g(x)=x2+1(x>0)是否满足“1和性质”,并说明理由;
(2)求所有满足“2和性质”的一次函数;
(3)设函数y=f(x)(x>0)对任何a>0,满足“a积性质”.求y=f(x)的表达式.

查看答案和解析>>

科目:高中数学 来源: 题型:

17、已知函数y=f(x)和y=g(x)在[-2,2]的图象如图所示,则方程f[g(x)]=0有且仅有
6
个根;方程f[f(x)]=0有且仅有
5
个根.

查看答案和解析>>

科目:高中数学 来源: 题型:

(2012•上海)已知函数y=f(x)的图象是折线段ABC,其中A(0,0)、B(
1
2
,5)、C(1,0),函数y=xf(x)(0≤x≤1)的图象与x轴围成的图形的面积为
5
4
5
4

查看答案和解析>>

科目:高中数学 来源: 题型:

已知函数y=f(x),x∈R,有下列4个命题:
①若f(1+2x)=f(1-2x),则y=f(x)的图象关于直线x=1对称;
②y=f(x-2)与y=f(2-x)的图象关于直线x=2对称;
③若y=f(x)为偶函数,且y=f(2+x)=-f(x),则y=f(x)的图象关于直线x=2对称;
④若y=f(x)为奇函数,且f(x)=f(-x-2),则y=f(x)的图象关于直线x=1对称.
其中正确命题的个数为(  )

查看答案和解析>>

科目:高中数学 来源: 题型:

已知函数y=f(x)是奇函数,当x>0时,f(x)=x3+1.设f(x)的反函数是y=g(x),则g(-28)=
-3
-3

查看答案和解析>>

同步练习册答案