精英家教网 > 高中数学 > 题目详情

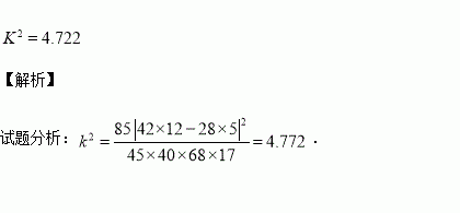
如下表是对于喜欢足球与否的统计列联表依据表中的数据,得到 .

练习册系列答案
相关习题

科目:高中数学 来源:2016届陕西省高三第四次适应性考试理科数学试卷(解析版) 题型:解答题

已知函数

(1)求函数的图像的对称轴方程;

(2)求函数的最小正周期和值域.

查看答案和解析>>

科目:高中数学 来源:2015-2016学年湖北省沙市高一下半月考四数学试卷(解析版) 题型:解答题

设数列的前项和,且成等差数列.

(Ⅰ)求数列的通项公式;

(Ⅱ)若,记数列的前n项和,求使成立的n的最大值.

查看答案和解析>>

科目:高中数学 来源:2015-2016学年湖北省沙市高一下半月考四数学试卷(解析版) 题型:选择题

已知是R上的增函数,那么a的取值范围是( )

A.(0,1) B.(1,2] C.(1,5) D.[2,5)

查看答案和解析>>

科目:高中数学 来源:2015-2016学年福建省高二下周练文科数学试卷(解析版) 题型:解答题

在平面直角坐标系中,以坐标原点为极点,轴的非负半轴为极轴建立坐标系,已知点的极坐标为,直线的极坐标方程为,且点在直线上.

(1)求的值及直线的直角坐标方程;

(2)圆的参数方程为为参数),试判断直线与圆的位置关系.

查看答案和解析>>

科目:高中数学 来源:2015-2016学年福建省高二下周练文科数学试卷(解析版) 题型:选择题

直线为参数)和圆交于两点,则的中点坐标为( )

A. B. C. D.

查看答案和解析>>

科目:高中数学 来源:2015-2016学年福建省高二下周练文科数学试卷(解析版) 题型:选择题

在等差数列中,若,公差,则有,类比上述性质,在等比数列中,若,公比,则的一个不等关系是( )

A. B.

C. D.

查看答案和解析>>

科目:高中数学 来源:2015-2016学年贵州遵义航天高中高二3月考理科数学试卷(解析版) 题型:选择题

直线分别与直线,曲线交于A,B两点,则的最小值为()

A. B. 1 C. D. 4

查看答案和解析>>

科目:高中数学 来源:2016届河南省洛阳市高三下学期第二次模拟理科数学试卷(解析版) 题型:解答题

如图(1),等腰直角三角形的底边,点在线段上,,现将沿折起到的位置(如图(2)).

(1)求证:

(2)若,直线与平面所成的角为,求长.

查看答案和解析>>

同步练习册答案