精英家教网 > 高中数学 > 题目详情

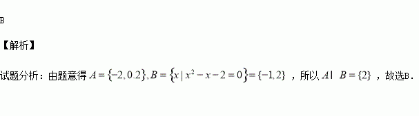
已知集合,则=( )

A. B.{2} C.{0} D.{-2}

练习册系列答案
相关习题

科目:高中数学 来源:2017届重庆市高三上学期入学考试数学(理)试卷(解析版) 题型:解答题

[选修4—5:不等式选讲]

设函数

(1)求证:当时,不等式成立.

(2)关于的不等式在R上恒成立,求实数的最大值.

查看答案和解析>>

科目:高中数学 来源:2017届河南息县第一高级中学高三上阶段测三数学(文)试卷(解析版) 题型:选择题

满足不等式的实数使关于的一元二次方程有实数根的概率是( )

A. B. C. D.

查看答案和解析>>

科目:高中数学 来源:2017届河北衡水中学高三上学期一调考试数学(文)试卷(解析版) 题型:填空题

已知函数,且,则

值为___________.

查看答案和解析>>

科目:高中数学 来源:2017届河北衡水中学高三上学期一调考试数学(文)试卷(解析版) 题型:选择题

若变量满足的最大值是( )

A.12 B.10

C.9 D.4

查看答案和解析>>

科目:高中数学 来源:2017届河北衡水中学高三上学期一调考试数学(理)试卷(解析版) 题型:解答题

已知函数).

(1)若函数存在极大值和极小值,求的取值范围;

(2)设分别为的极大值和极小值,若存在实数,使得,求的取值范围.

查看答案和解析>>

科目:高中数学 来源:2017届河北衡水中学高三上学期一调考试数学(理)试卷(解析版) 题型:填空题

,变量在约束条件下,目标函数的最大值为,则_________.

查看答案和解析>>

科目:高中数学 来源:2015-2016学年辽宁瓦房店市高二下期末数学(文)试卷(解析版) 题型:解答题

椭圆的离心率为,以其四个顶点为顶点的四边形的面积等于

(1)求椭圆C的标准方程;

(2)过原点且斜率不为0的直线与椭圆C交于P,Q两点,A是椭圆C的右顶点,直线AP,AQ分别与y轴

交于点M,N,问:以MN为直径的圆是否恒过x轴上的定点?若恒过x轴上的定点,请求出该定点的坐标;

若不恒过轴上的定点,请说明理由.

查看答案和解析>>

科目:高中数学 来源:2015-2016学年辽宁瓦房店市高二下期末数学(理)试卷(解析版) 题型:选择题

式子的最小值为( )

A. B. C. D.

查看答案和解析>>

同步练习册答案