精英家教网 > 高中数学 > 题目详情

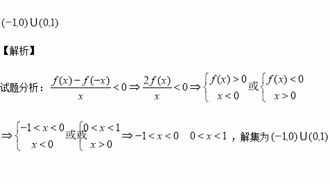
设奇函数上为增函数,且,则不等式的解集为

练习册系列答案
相关习题

科目:高中数学 来源:2016届浙江省高三期中理科数学试卷(解析版) 题型:选择题

设双曲线的左、右焦点分别为,离心率为,过的直线与双曲线的右支交于两点,若是以为直角顶点的等腰直角三角形,则( )

A. B. C. D.

查看答案和解析>>

科目:高中数学 来源:2016届甘肃省高三上学期期中文科数学试卷(解析版) 题型:选择题

已知集合A=则(CRA)B=( )

A. B. C. D.

查看答案和解析>>

科目:高中数学 来源:2015-2016学年江苏启东中学高二上学期期中文科数学试卷(解析版) 题型:解答题

(本小题满分16分)已知椭圆的左、右焦点分别为,短轴两个端点为,且四边形是边长为2的正方形.

(1)求椭圆的方程;

(2)若分别是椭圆长轴的左、右端点,动点满足,连接,交椭圆于点.证明:为定值.

(3)在(2)的条件下,试问轴上是否存异于点的定点,使得以为直径的圆恒过直线的交点,若存在,求出点的坐标;若不存在,请说明理由.

查看答案和解析>>

科目:高中数学 来源:2015-2016学年江苏启东中学高二上学期期中理科数学试卷(解析版) 题型:填空题

已知点是椭圆上的动点,为椭圆对左、右焦点,为坐标原点,若的角平分线上的一点,且,则的取值范围是

查看答案和解析>>

科目:高中数学 来源:2015-2016学年广东省深圳市高一上学期期中数学试卷(解析版) 题型:填空题

函数f(x)=ex2+2x的增区间为_______

查看答案和解析>>

科目:高中数学 来源:2015-2016学年广东省高一上学期期中数学试卷(解析版) 题型:选择题

已知函数,且对任意的,都存在

使,则实数的取值范围是 ( )

(A)[3,+∞) (B)(0,3] (C) (D)

查看答案和解析>>

科目:高中数学 来源:2015-2016学年四川省德阳市高二10月月考数学试卷(解析版) 题型:选择题

圆心为且过原点的圆的方程是( )

A. B.

C. D.

查看答案和解析>>

科目:高中数学 来源:2015-2016学年河北省唐山市高一10月月考数学试卷(解析版) 题型:填空题

已知,则_________

查看答案和解析>>

同步练习册答案